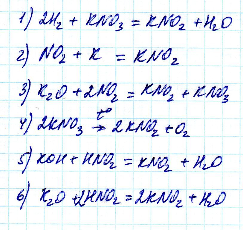
Срочно .как получить нитрит калия 5 способами
lubastran89:
Извините, неправильно написала. Нужно получить нитрат калия. Помогите, пожалуйста!
Ответы
Ответ дал:
1
N2O3 + 2KOH -> 2KNO2 + H2O
2NO2 + 2KOH -> KNO3 + KNO2 + H2O
2KNO3 -> 2KNO2 + O2
K2O + N2O3 -> 2KNO2
AgNO2 + KCl -> AgCl + KNO2
2NO2 + 2KOH -> KNO3 + KNO2 + H2O
2KNO3 -> 2KNO2 + O2
K2O + N2O3 -> 2KNO2
AgNO2 + KCl -> AgCl + KNO2
Ответ дал:
1
K2O+2HNO3=2KNO3+H2O
KOH+HNO3=KNO3+H2O
AgNO3+KCl=AgCl↓+KNO3
KNO2+H2O2=KNO3+H2O
K3PO4+3AgNO3 = Ag3PO4↓ + 3KNO3
KOH+HNO3=KNO3+H2O
AgNO3+KCl=AgCl↓+KNO3
KNO2+H2O2=KNO3+H2O
K3PO4+3AgNO3 = Ag3PO4↓ + 3KNO3
Приложения:

Вас заинтересует
2 года назад
2 года назад
3 года назад
3 года назад