Ответы
Ответ дал:
0
(x-2)² < √3(x-2) < 0
(x-2)² - √3(x-2) < 0
(x - 2)(x - 2 - √3) < 0
метод интервалов:
х - 2 = 0 (x - 2 - √3) = 0
х = 2 х = 2 + √3
-∞ 2 2+√3 +∞
+ - + это знаки (x - 2)(x - 2 - √3)
IIIIIIIIIIIIIIIIIIIIII
Ответ: х ∈(2; 2 + √3)
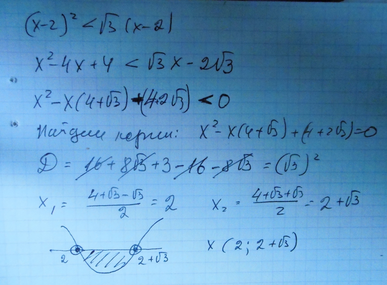
(x-2)² - √3(x-2) < 0
(x - 2)(x - 2 - √3) < 0
метод интервалов:
х - 2 = 0 (x - 2 - √3) = 0
х = 2 х = 2 + √3
-∞ 2 2+√3 +∞
+ - + это знаки (x - 2)(x - 2 - √3)
IIIIIIIIIIIIIIIIIIIIII
Ответ: х ∈(2; 2 + √3)
Ответ дал:
0
!!!!!!!!!!!!!!!!!!!!!!
Приложения:

Вас заинтересует
7 лет назад
7 лет назад
9 лет назад
9 лет назад
10 лет назад