• Предмет: Математика
  • Автор: hakainas
  • Вопрос задан 2 года назад

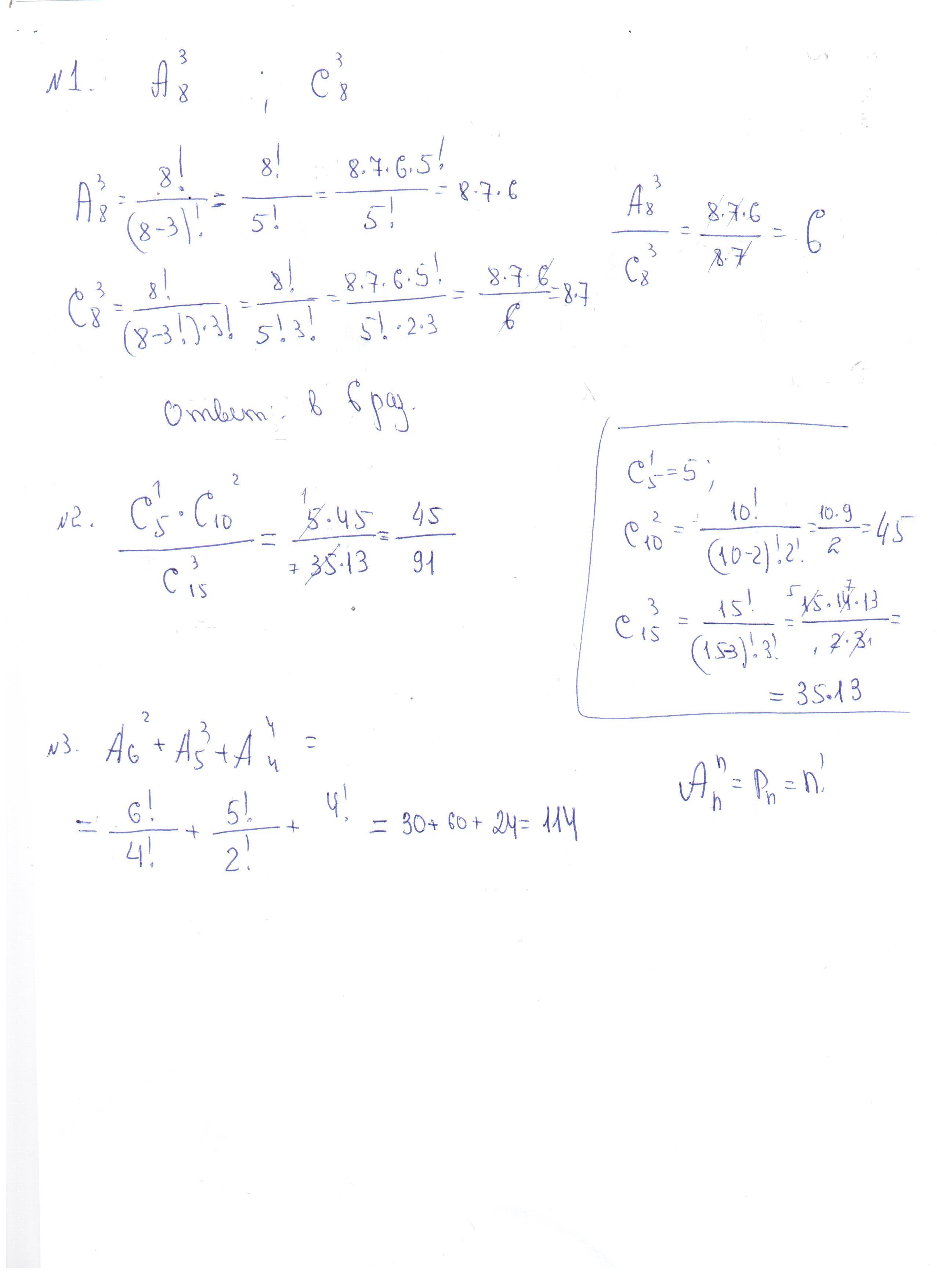
Комбинаторика. Решите, пожалуйста

Приложения:

Ответы

Ответ дал: Аноним
1
Решение смотри в приложении
Приложения:

hakainas: Спасибо❤❤❤❤
Вас заинтересует