Ответы
Ответ дал:
1
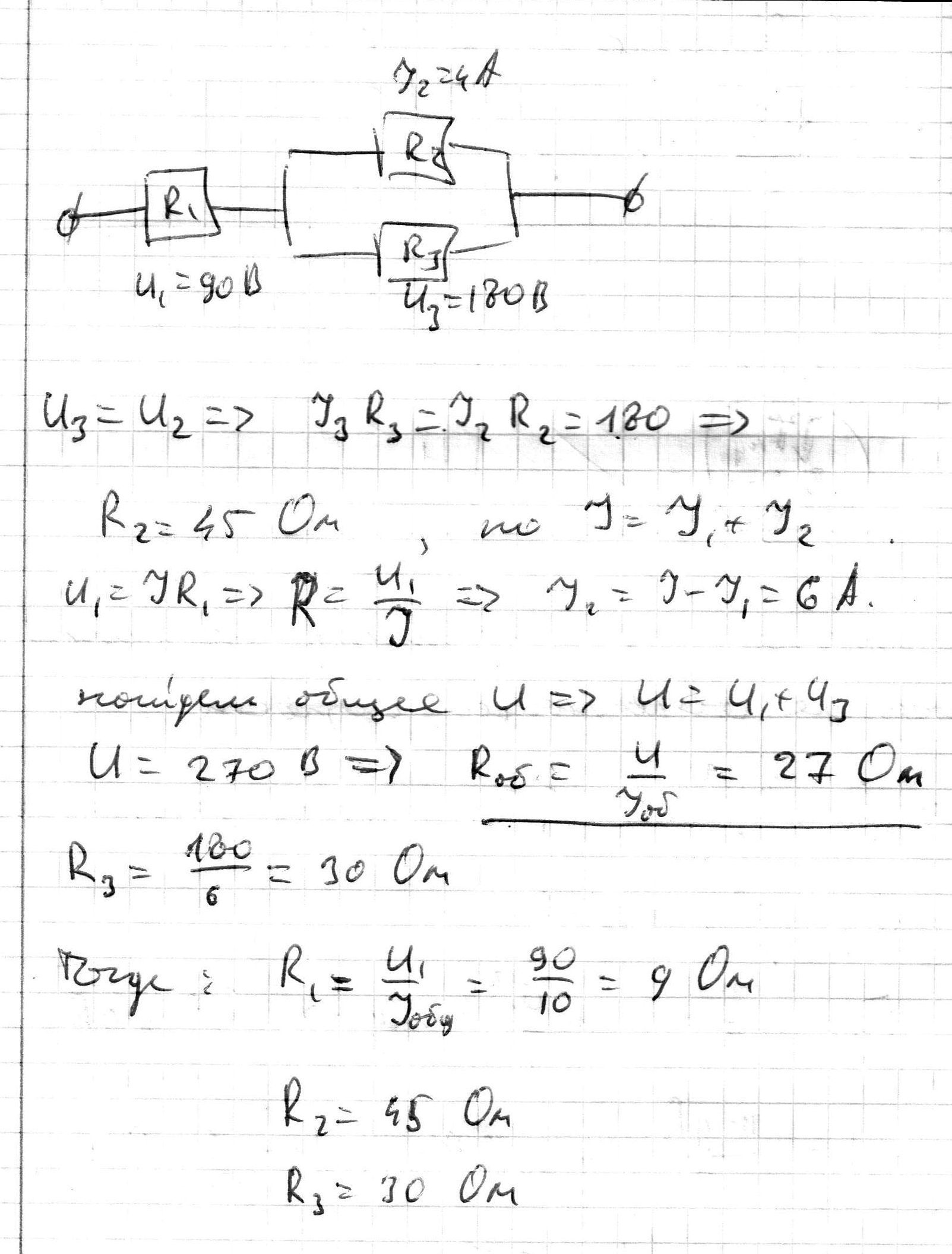
I2=4 A Io=10 A U1=90 B U3=180 B R1=? R2=? R3=?
===
I1=Io=10 A
I3=Io-I2=10-4=6 A
R1=U1/I1=90/10=9 Ом
R2=U3/I2=180/4=45 Ом
R3=U3/I3=180/6=30 Ом
============================
===
I1=Io=10 A
I3=Io-I2=10-4=6 A
R1=U1/I1=90/10=9 Ом
R2=U3/I2=180/4=45 Ом
R3=U3/I3=180/6=30 Ом
============================
Ответ дал:
0
Держи решение в файле!!!
Приложения:
Вас заинтересует
2 года назад
2 года назад
2 года назад
3 года назад
3 года назад
9 лет назад
9 лет назад