• Предмет: Математика
  • Автор: maz500
  • Вопрос задан 2 года назад

3*4^x-8*2^x-16=0 не знаю правильно записал но очень надо решить

Ответы

Ответ дал: Lesben
1
3.4ˇx - 8.2ˇx - 16 = 0
4ˇx=(2ˇ2)ˇx=(2ˇx)ˇ2
2ˇx=z
3zˇ2-8z-16=0,D=64+192=256,√256=16
z1=(8+16)/6=24/6=4
z2=(8-16)/6=-8/6=-4/3 ne dact rešenie
2ˇx=4
2ˇx=2ˇ2
x=2
======

maz500: z это что означает?
Lesben: eto cybctituce. z pišem vzamen 2ˇx, rešim kvadratičnoe uravnenie c neznakomoj z i pocle togo pišem vnov 2ˇx=z.
Lesben: Možno takže picat 2ˇx = t ili 2ˇx=u ili 2ˇx=d itd.
Ответ дал: anastasiyazhar
1
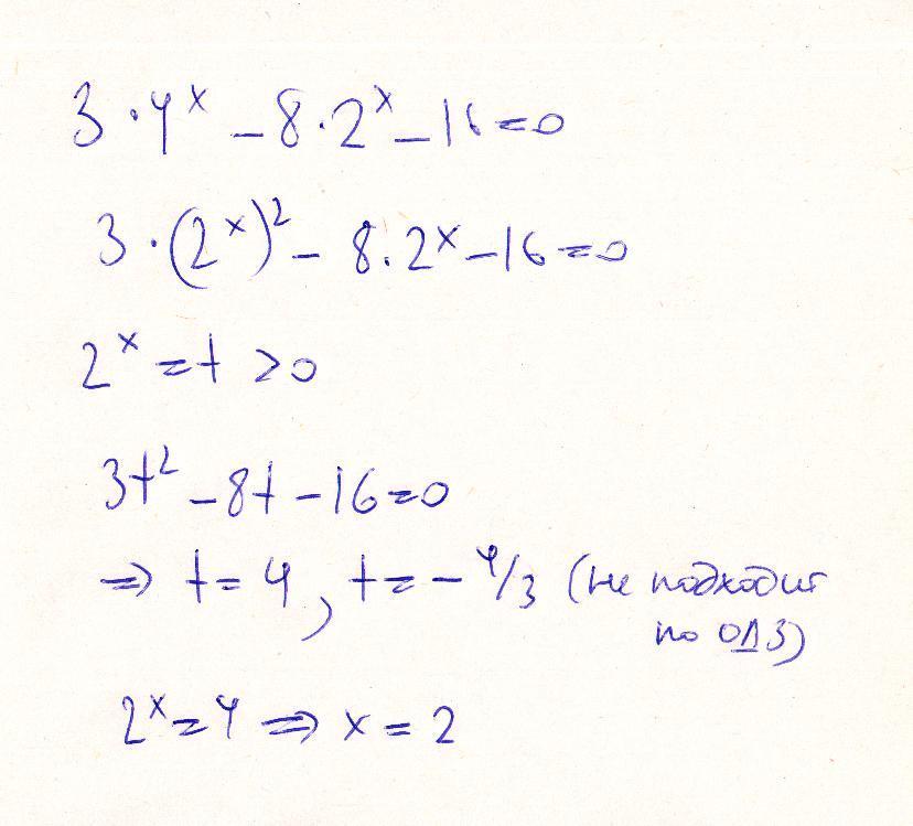
3*2^(2x)-8*2^x-16=0, делаем замену t=2^x, получаем: 3t^2+8t-16=0→t=-4, t=4/3 (отрицательный как Оренбург не подходит, т к 2^x больше нуля). Возвращаемся к переменной x: 2^x=4/3→x=log(2)4/3. если что-то не понятно - пишите))
Приложения:

anastasiyazhar: Ой, извиняюсь, допустила ошибку по невнимательности... Знак в исходном уравнении перепутала (вы это заметите). Тогда t=4 и t=-4/3 (не подходит), откуда x=2.
maz500: если правильно, то мне всё не понятно, но красиво. а как это вообще надо написать в решении?
maz500: я не для себя, мне это всё как недра с юпитера
anastasiyazhar: что именно?
maz500: ну решение как написать в тетради?
anastasiyazhar: Один момент
anastasiyazhar: Смотрите картинку в моем ответе. Думаю, если запишете так, то все будет ок)
maz500: понял спасибо
Вас заинтересует