• Предмет: Химия
  • Автор: данильчиклооо
  • Вопрос задан 2 года назад

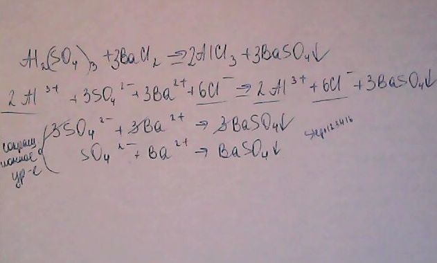
Закончите молекулярное уравнение реакции, запишите полное и сокращённое ионное уравнение: Al2(SO4)3 + BaCl3 --------- BaSO4 + AlCl3

Ответы

Ответ дал: Stepa123416
0
У тебя ошибка ,там в ур-ии должно быть BaCl2
Приложения:

данильчиклооо: Благодарю!
Вас заинтересует