• Предмет: Математика
  • Автор: лоту1
  • Вопрос задан 2 года назад

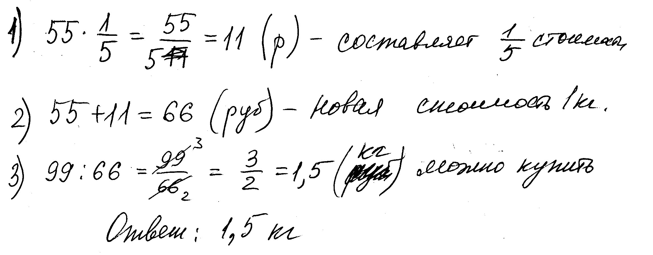
1кг яблок стоил 55 р.После сезонного повышения цен стоимость 1 кг яблок стала на 1/5 стоимости дороже.Сколько яблок можно купить на 99 р. после повышения цен ?

Ответы

Ответ дал: samodina
1
решение во вложенном файле
Приложения:
Вас заинтересует