Ответы
Ответ дал:
1
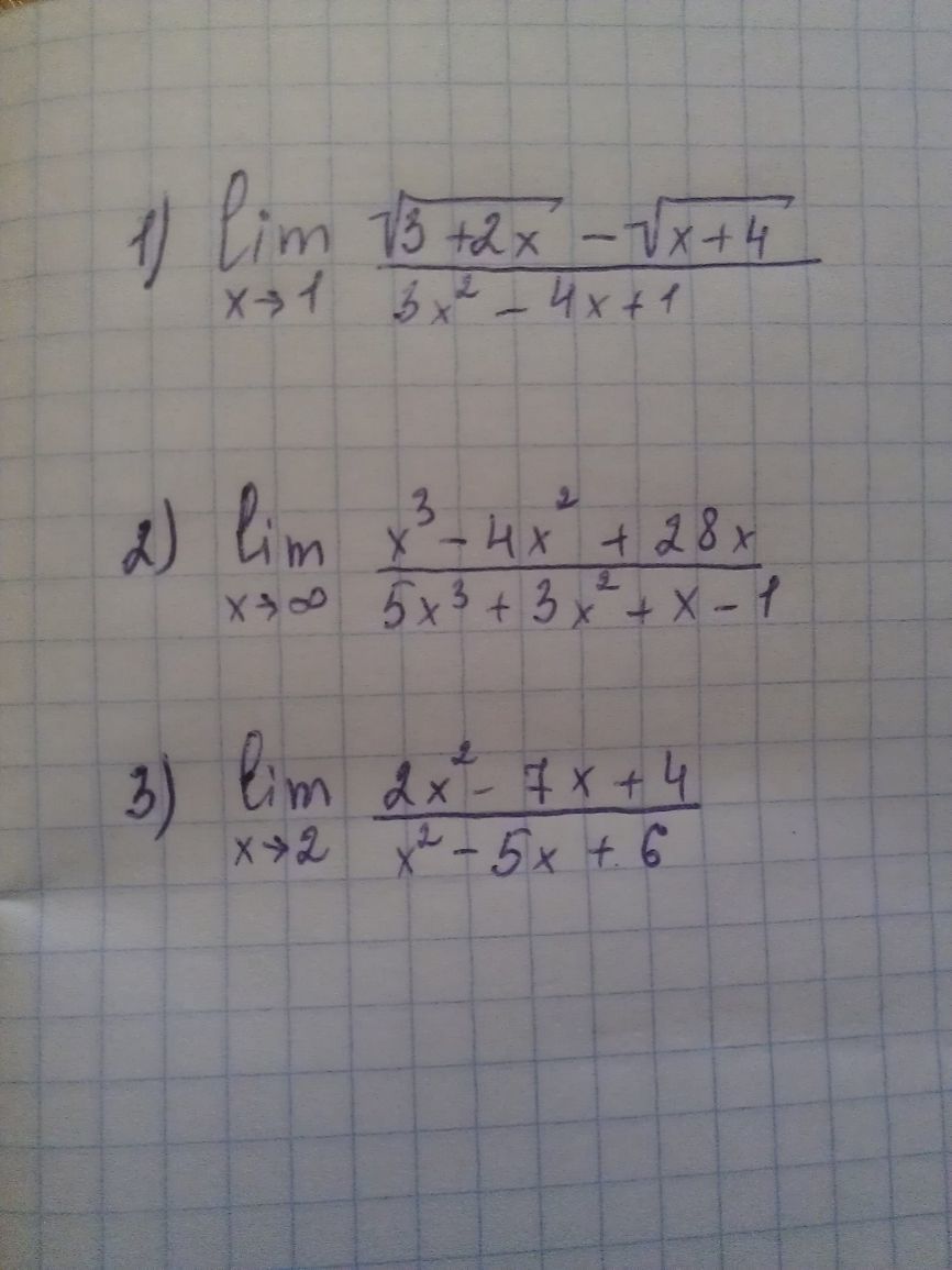
1) Неопределённость 0/0
Первый способ.
Домножить числитель и знаменатель на (-sqrt(x+4)-sqrt(2x+3)). Знаменатель разложить на множители (3x-1)(x-1). После преобразований (x-1) сократится и неопределённость исчезнет.
Второй способ.
По правилу Лопиталя. Находим производные числителя и знаменателя. Неопределённость тоже исчезнет.
2. Неопределённость оо/оо
Числитель и знаменатель делим на x^3. В числителе будет:
1-4/x+28/x^2
В знаменателе будет: 5+3/x+1/x^2-1/x^3
Устремляем x к бесконечности, в числителе останется 1, в знаменателе 5. Ответ 1/5
Первый способ.
Домножить числитель и знаменатель на (-sqrt(x+4)-sqrt(2x+3)). Знаменатель разложить на множители (3x-1)(x-1). После преобразований (x-1) сократится и неопределённость исчезнет.
Второй способ.
По правилу Лопиталя. Находим производные числителя и знаменателя. Неопределённость тоже исчезнет.
2. Неопределённость оо/оо
Числитель и знаменатель делим на x^3. В числителе будет:
1-4/x+28/x^2
В знаменателе будет: 5+3/x+1/x^2-1/x^3
Устремляем x к бесконечности, в числителе останется 1, в знаменателе 5. Ответ 1/5
AssignFile:
3. Здесь нет неопределённость 0/0 или оо/оо. Поэтому просто подставляем и получаем 1/0, т.е. бесконечность (оо)
Вас заинтересует
2 года назад
2 года назад
2 года назад
2 года назад
3 года назад
3 года назад
9 лет назад