• Предмет: Математика
  • Автор: annaroman544
  • Вопрос задан 2 года назад

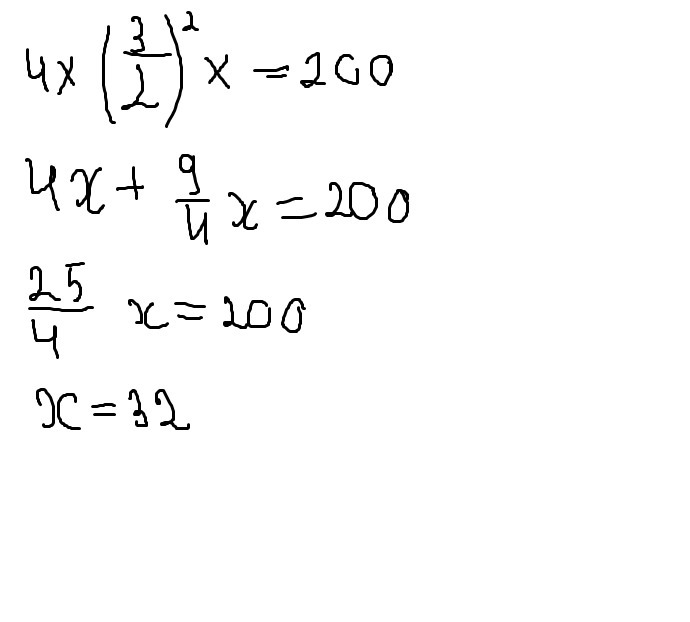
2^x+1*5^x=200 помогите плииз

Ответы

Ответ дал: зубрильчик
1
Я не стал писать заново, а просто начал уже решать 
Приложения:
Вас заинтересует