Ответы
Ответ дал:
1
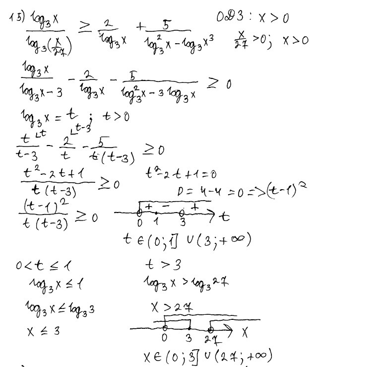
Ошибка в знаке на промежутке [0; 1)
Там "минус"

+ - - +
______________|______|_____________|_________________
0 1 3
t > 3
log₃x > 3
log₃x > log ₃27
x > 27
x ∈ (27; +∞)
Там "минус"
+ - - +
______________|______|_____________|_________________
0 1 3
t > 3
log₃x > 3
log₃x > log ₃27
x > 27
x ∈ (27; +∞)
Вас заинтересует
2 года назад
2 года назад
2 года назад
3 года назад
3 года назад
9 лет назад