ПОМОГИТЕ!!!
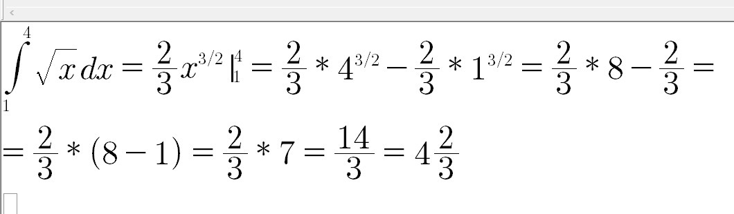
Построить и вычислить площадь криволинейной трапеции, обрахованной линиями
y=√x; x=4; x=1; y=0
Ответы
Ответ дал:
0
см фото
===============================
===============================
Приложения:


Вас заинтересует
1 год назад
2 года назад
3 года назад
8 лет назад