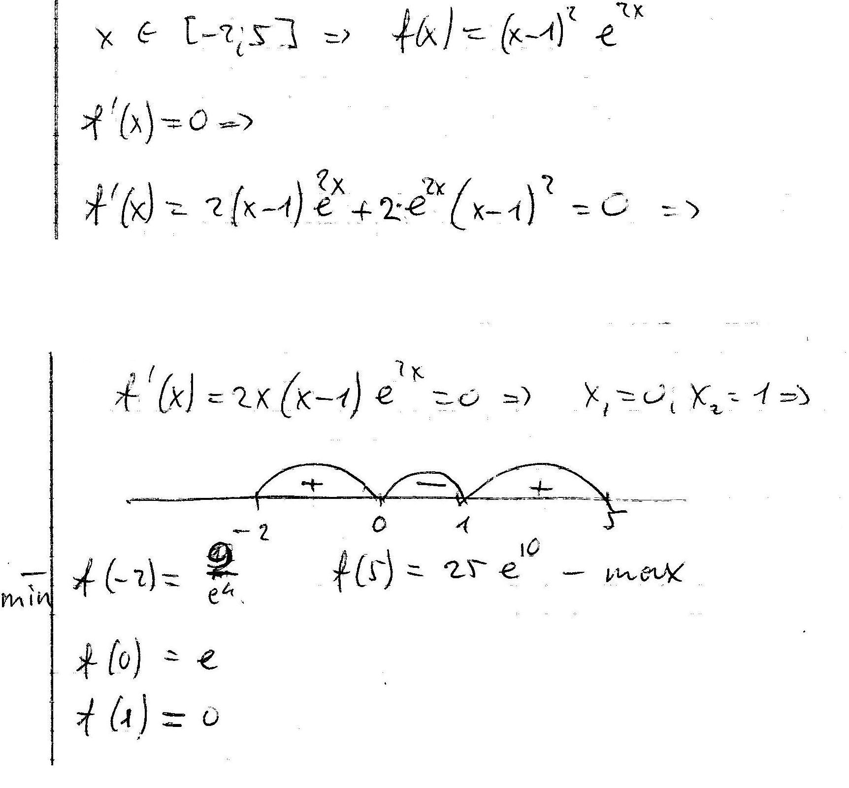
вычеслить наибольшее и наименьшее значеие непрерывности на отрезке -2.5;е функции f(x)=(x-1)^2*e^2x
Ответы
Ответ дал:
0
держи ответ в файле!
Приложения:

Вас заинтересует
1 год назад
1 год назад
2 года назад
2 года назад
3 года назад
3 года назад
8 лет назад