• Предмет: Физика
  • Автор: adadsdasdsadad8689
  • Вопрос задан 2 года назад

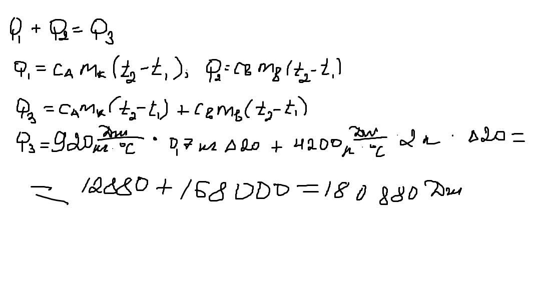
решите пожалуйста с решением)0 В алюминиевой кастрюле массой 700г. нагрели 2 кг воды на 20°С. Сколько энергии израсходовано на нагревание?

Ответы

Ответ дал: nastenkazaza
1
Смотри во вложении↓↓↓↓↓↓↓↓↓↓↓↓↓↓↓↓
Приложения:
Вас заинтересует