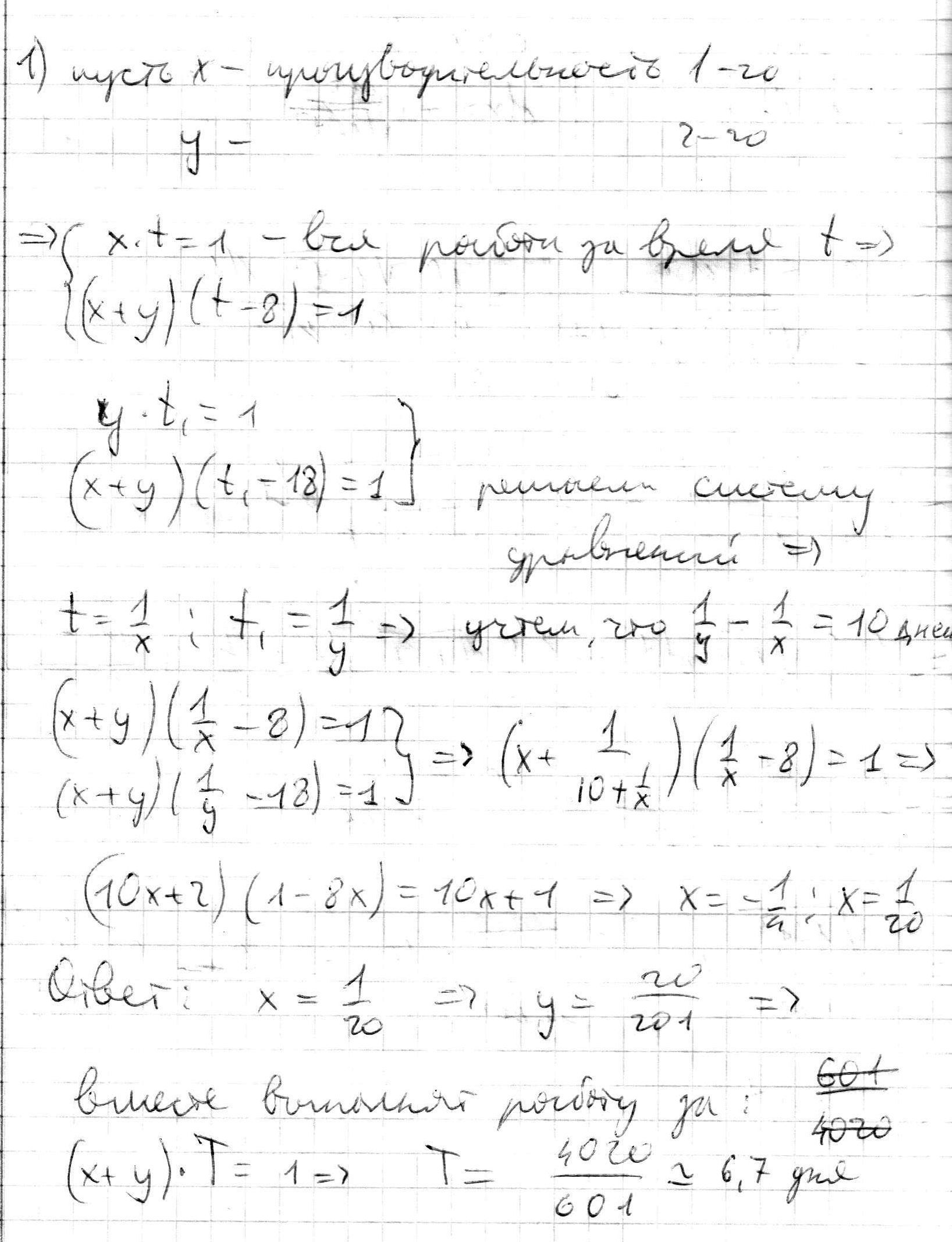
Два слесаря работая вместе могут выполнить задание на 8 дней быстрее, чем 1 первый слесарь и на 18 дней быстрее, чем 1 второй. Сколько дней потребуется слесарям на совместное выполнение задания ?
Ответы
Ответ дал:
1
Держи ответ в файле!
Приложения:

Вас заинтересует
1 год назад
2 года назад
2 года назад
3 года назад
3 года назад
8 лет назад