Помогите решить 15 задание из ЕГЭ 2017!
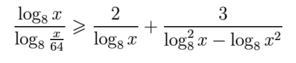
log8(X) / log8(X/64) >= 4 / log4(X) + 3 / ((log8)^2(X)-log8(X^2))
Приложения:

Ответы
Ответ дал:
0
решение на фотографии
Приложения:

Вас заинтересует
2 года назад
2 года назад
6 лет назад
6 лет назад
9 лет назад
10 лет назад
10 лет назад