Помогите плиз! найдите площадь фигуры,ограниченной графиком функции y= -x^2+6x+9 и осями координат если можно то с прирепленой фотографией решения
Ответы
Ответ дал:
0
интеграл от 3(1-
) до 3(1+
)
=72*2^(1/2)=101,8
Ответ дал:
0
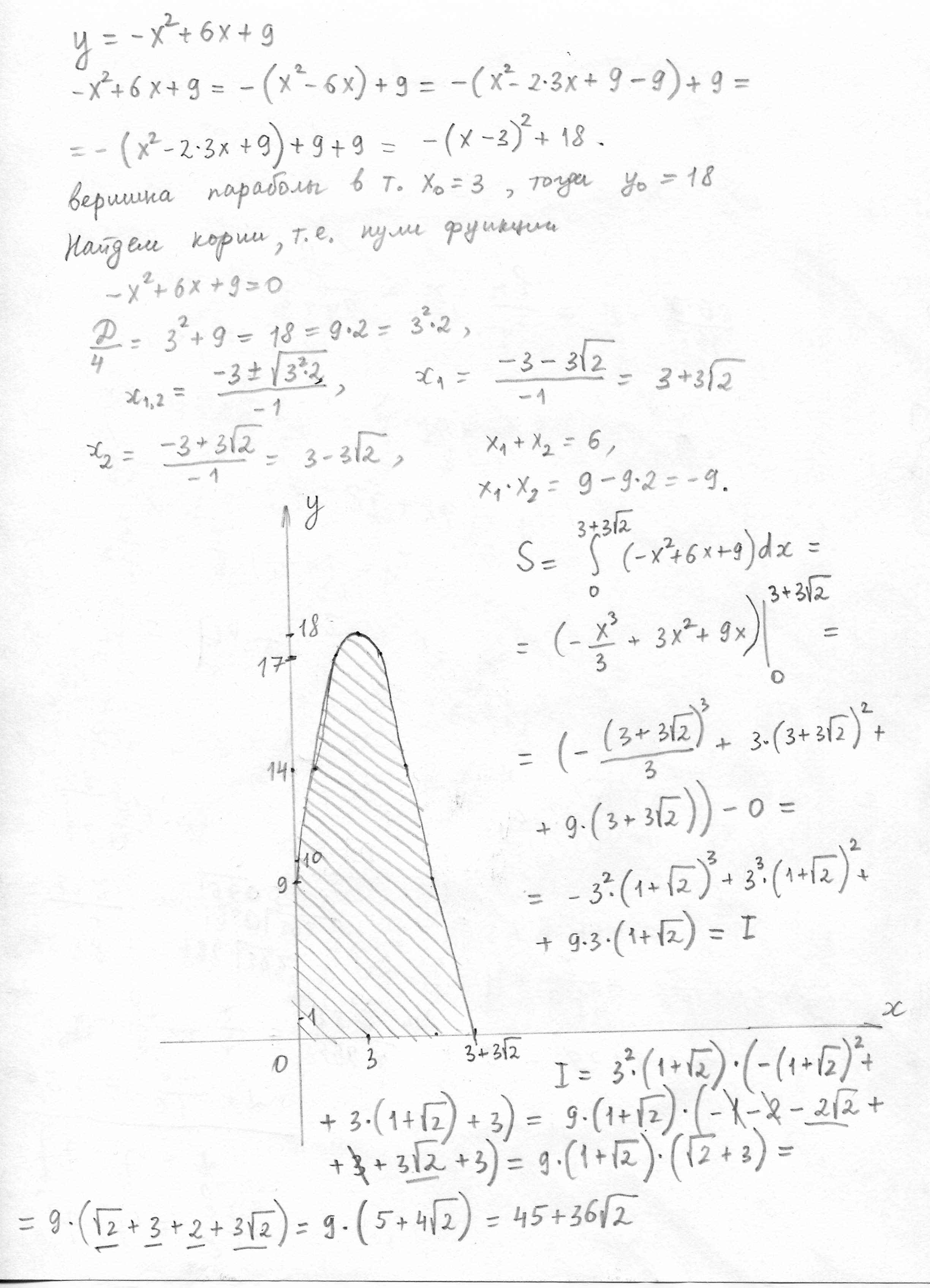
решение на листочке...
Приложения:

Вас заинтересует
1 год назад
1 год назад
2 года назад
3 года назад
3 года назад