• Предмет: Алгебра
  • Автор: ilsiyashamsutdinova1
  • Вопрос задан 2 года назад

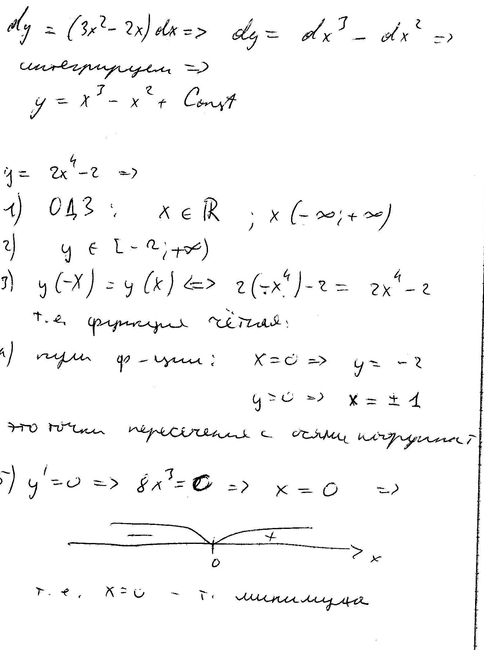
Исследовать и построить график y=2x^4-2

Ответы

Ответ дал: valshev
0
Держи ответ в файлах!
Приложения:
Вас заинтересует