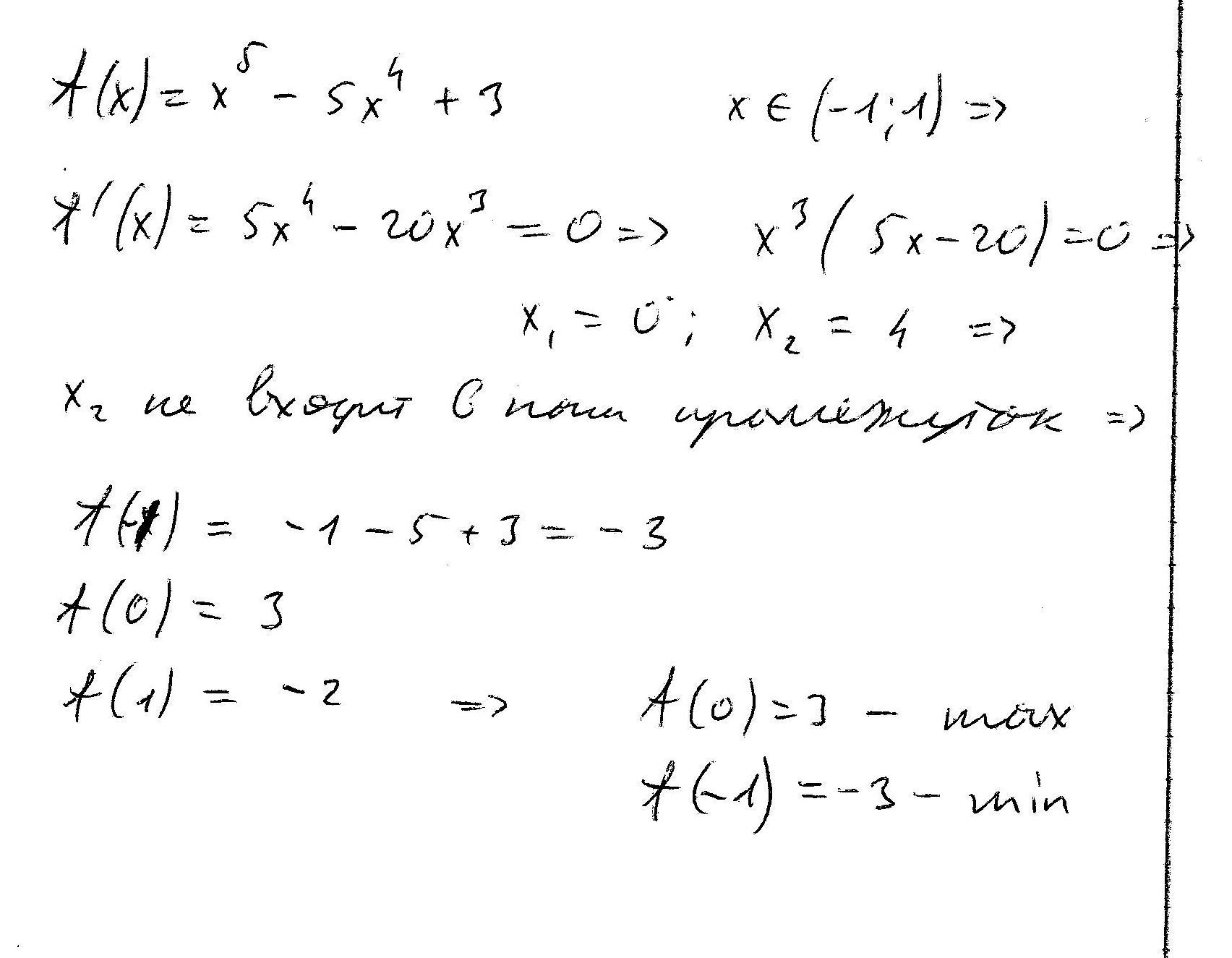
Найти наибольшее и наименьшее значение функции f(x)=x^5-5x^4+3 на отрезке(-1;1). Буду очень благодарна за помощь))))
Ответы
Ответ дал:
1
держи ответ в файле!
Приложения:

Julia132435:
Огромное спасиииибоооо))))))))
Вас заинтересует
1 год назад
1 год назад
2 года назад
3 года назад
8 лет назад