• Предмет: Математика
  • Автор: wha4le
  • Вопрос задан 2 года назад

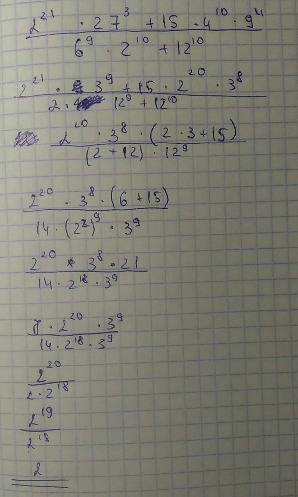
Помогите решить пример ! 7 класс алгебра

Приложения:

Ответы

Ответ дал: 0Nobodies0
0
скорее всего где-то так
Приложения:
Вас заинтересует