Ответы
Ответ дал:
1
Решение смотри в приложении
Приложения:

Ответ дал:
1
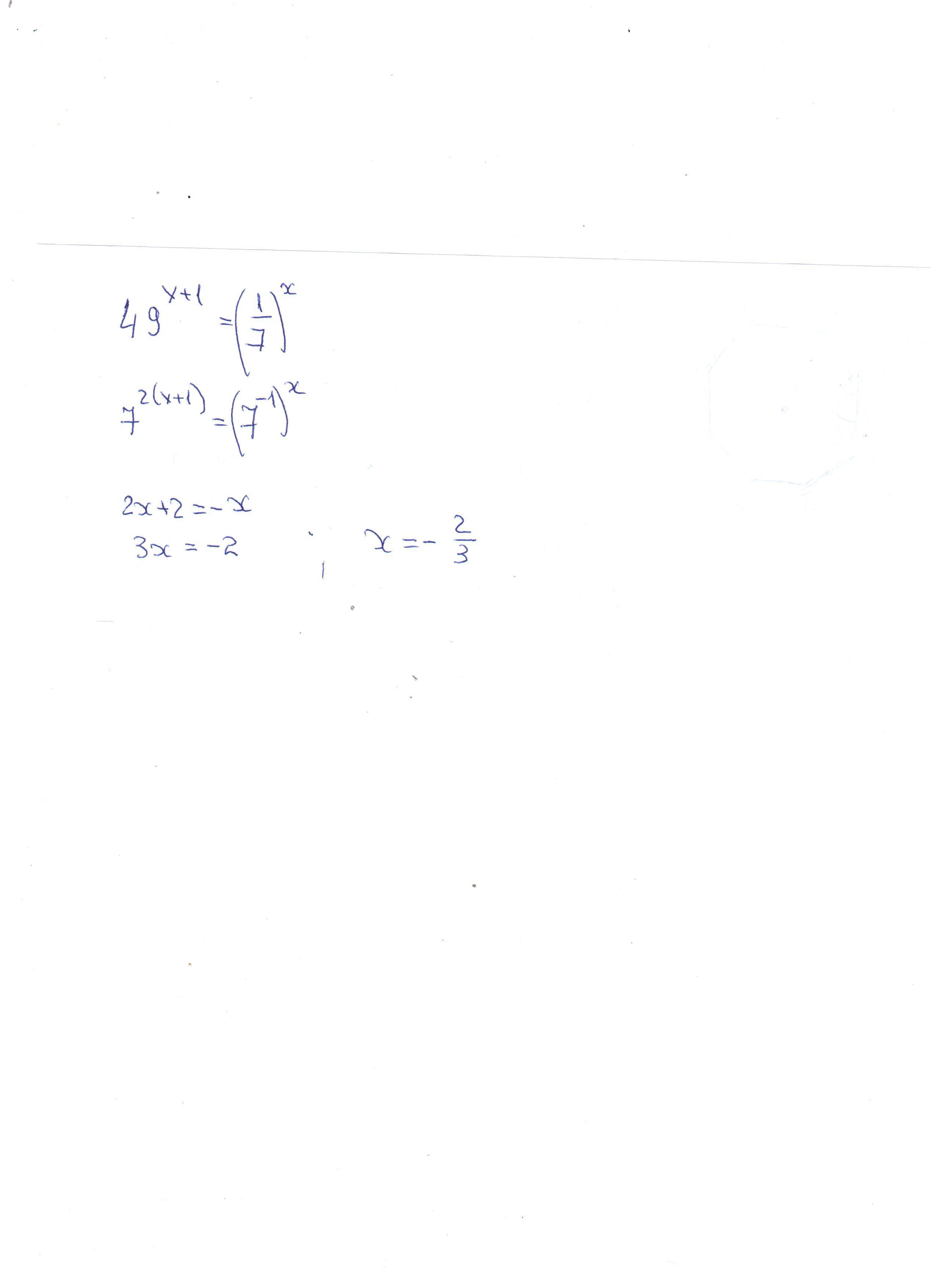
49^х+1 = (1/7)^х
(7²)^х+1 = (7^-1)^х
7^2х+2 = 7^-х
2х+2=-х
2х+х+2-2 = -х+х-2
2х+х=-2
2х+1х=-2
(2+1)х=-2
3х=-2
3х/3=-2/3
х=-2/3
(7²)^х+1 = (7^-1)^х
7^2х+2 = 7^-х
2х+2=-х
2х+х+2-2 = -х+х-2
2х+х=-2
2х+1х=-2
(2+1)х=-2
3х=-2
3х/3=-2/3
х=-2/3
Вас заинтересует
1 год назад
1 год назад
2 года назад
3 года назад
3 года назад
8 лет назад