• Предмет: Математика
  • Автор: azazadron
  • Вопрос задан 2 года назад

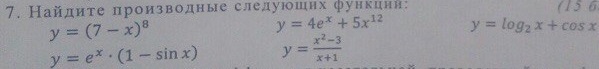
Найдите производные следующих функций

Приложения:

Ответы

Ответ дал: V1adoss
0
y=(7- x)^{8}   ---- y ^{/}=8*(7- x)^{7}-1 ;\\ y= e^{x} *(1-sinx) ----  y ^{/}=e^{x} *(1-sinx)+e^{x} *(-cosx); \\  y=4 e^{x} + 5x^{12} ----y ^{/}=4 e^{x}+60 x^{11} ; \\ y=  \frac{ x^{2}-3 }{ x+1} ----y ^{/}= \frac{2x*(x+1)-( x^{2}-3) }{( x+1)^2 } ; \\ y= log _{2} x+cosx----y ^{/}= \frac{1}{x*ln2} -sinx
Вас заинтересует