• Предмет: Алгебра
  • Автор: vladushka991
  • Вопрос задан 2 года назад

Помогите дорешать уравнение

Приложения:

Ответы

Ответ дал: NNNLLL54
0
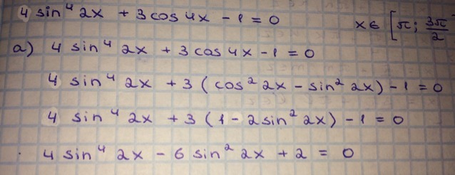
4sin^42x+3cos4x-1=0\\\\4sin^42x+3(1-2sin^22x)-1=0\\\\4sin^42x-6sin^22x+2=0\; |:2\\\\2sin^42x-3sin^22x+1=0\\\\t=sin^22x \geq 0\; ,\; \; 2t^2-3t+1=0\\\\D=9-8\; ,\; \; t_1=\frac{3-1}{4}=\frac{1}{2}\; ,\; \; t_2= \frac{3+1}{4} =1\\\\a)\; \; sin^22x= \frac{1}{2} \; ,\; \; \; [\; \; sin^2 \alpha = \frac{1-cos2\alpha }{2}\; ] \\\\\frac{1-cos4x}{2} = \frac{1}{2} \; \; \to \; \; \;1-cos4x=1\; ,\; \;  cos4x=0\\\\4x=\frac{\pi}{2}+\pi n,\; n\in Z\\\\x=\frac{\pi}{8}+\frac{\pi n}{4}\; ,\; n\in Z\\\\b)\; \; sin^22x=1\; ,

 \frac{1-cos4x}{2} =1\; ,\; \; 1-cos4x=2\; ,\; \; cos4x=-1\\\\4x=\pi +2\pi k\; ,\; k\in Z\\\\x= \frac{\pi }{4} + \frac{\pi k}{2} \; ,\; k\in Z\\\\Otvet:\; \; x= \frac{\pi }{8} + \frac{\pi n}{4}\; ,\; \; x= \frac{\pi }{4} +\frac{\pi k}{2} \; ,\; \; n,k\in Z\; .

c)\; \; x\in [\pi ,\frac{3\pi}{2}]\; :\; \; x=\frac{9\pi }{8}\; ,\; \; \frac{5\pi}{4}\; ,\; \frac{11\pi }{8}\; .
Вас заинтересует