• Предмет: Математика
  • Автор: Иван199928
  • Вопрос задан 2 года назад

99 БАЛЛОВ. Вычислить интеграл, ПОДРОБНО!!!!!!!

Приложения:

Ответы

Ответ дал: paradiseva
1
 \int\limits^{ \frac{8}{9} }_{ \frac{1}{3} } { \sqrt{9x+1} } \, dx =  \frac{1}{9} \int\limits^{ \frac{8}{9} }_{ \frac{1}{3} } { \sqrt{9x+1} } \, d(9x+1) =\frac{1}{9}* \frac{2}{3} (\sqrt{9x+1})^3 \bigg |^{ \frac{8}{9} }_{\frac{1}{3}}= \\
=\frac{2}{27} (\sqrt{9* \frac{8}{9} +1})^3-\sqrt{9* \frac{1}{3} +1})^3 )=\frac{2}{27} (\sqrt{9^3}-\sqrt{4^3} )=\\
=\frac{2}{27}(3^3-2^3)=\frac{2}{27}(27-8)=\frac{2*19}{27}= \frac{38}{27}=1  \frac{11}{27}
Ответ дал: o2784913
1
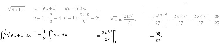
На картинке ответ.
_______________
Приложения:
Вас заинтересует