• Предмет: Химия
  • Автор: jsubbotina3109
  • Вопрос задан 2 года назад

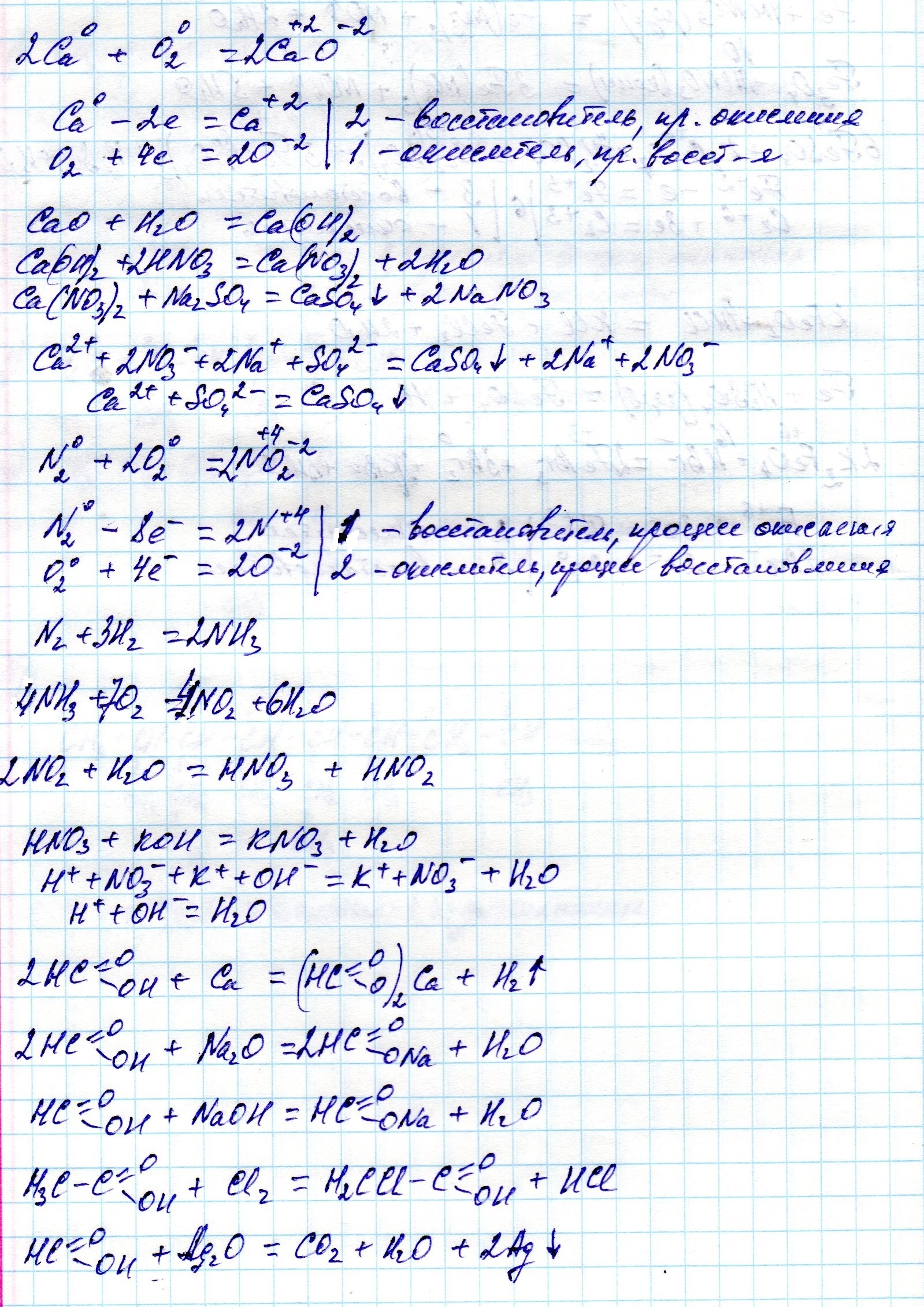
1. Осуществить цепочку превращений. Дать названия полученным веществам.
Сa → СaO → Сa(OH)2 → Сa(NO)3 → СaSO4

Для первой реакции составить электронный баланс.
Для последней реакции составить молекулярное, полное и сокращенное ионные уравнения.
Осуществить цепочку превращений. Дать названия полученным веществам.
N2 → NH3 → NO2 → HNO3 → KNO3

NO2
Любую окислительно-восстановительную реакцию уравнять методом электронного баланса. Для любой реакции ионного обмена составить молекулярное, полное и сокращенное оинные уравнения.
Опишите химические свойства карбоновых кислот.

Ответы

Ответ дал: mrvladimir2
4
..............................................................................................................................
Приложения:
Вас заинтересует