• Предмет: Алгебра
  • Автор: San1xon
  • Вопрос задан 2 года назад

Алгебра. Интеграл 3 номер. Срочно!

Приложения:

Ответы

Ответ дал: bearcab
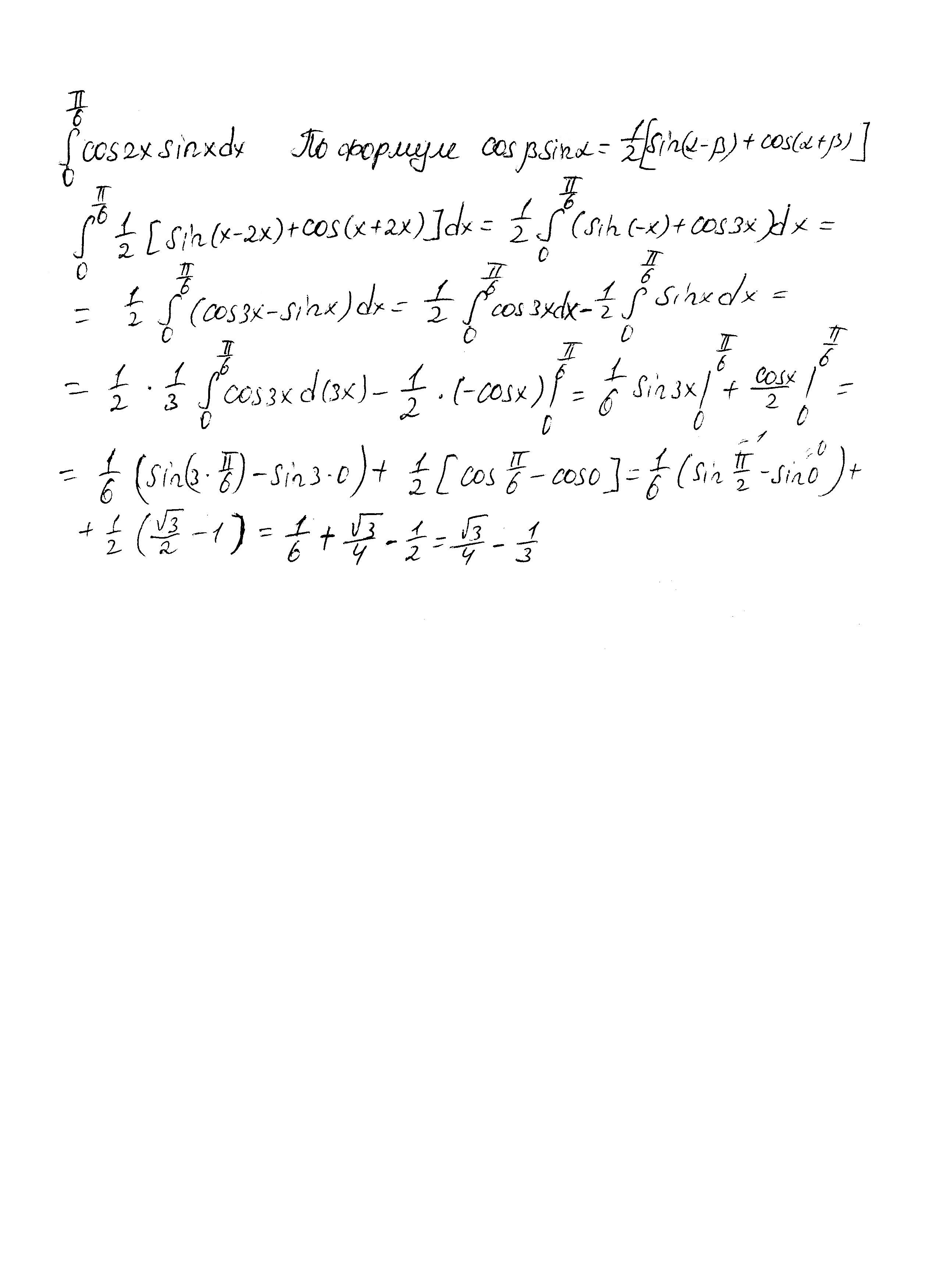
1
Решение в приложении.
Приложения:
Вас заинтересует