• Предмет: Алгебра
  • Автор: WhiteNeko
  • Вопрос задан 2 года назад

Срочно
_________________

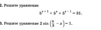
Приложения:

Ответы

Ответ дал: badakur
0
Решение в приложении.
Приложения:
Вас заинтересует