Ответы
Ответ дал:
1
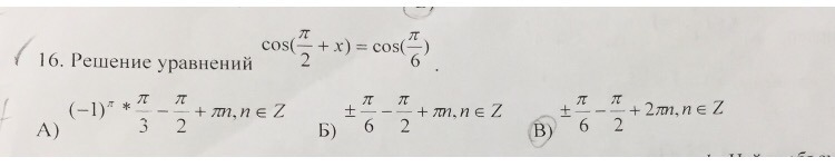
cos (p/2 +x) это формула приведения. 1. Смена на кофункцию (значение p неполное)
2. Проверка на знак. Во второй четверти косинус принимает отрицательные значения => и кофункция также меняет знак на противоположный.
cos p/2+ x= -sin x
-sin x= cos p/6
cos p/6= √3/2
-sin x= √3/2
sin x= - √3/2
Выделяем группы корней (arcsin и p - arcsin).
x= -p/3 + 2pm, m € Z.
x= -2p/3 + 2pn, n € Z.
или
(-1)^n p/3 - p/2 + 2pn, n € Z.
2. Проверка на знак. Во второй четверти косинус принимает отрицательные значения => и кофункция также меняет знак на противоположный.
cos p/2+ x= -sin x
-sin x= cos p/6
cos p/6= √3/2
-sin x= √3/2
sin x= - √3/2
Выделяем группы корней (arcsin и p - arcsin).
x= -p/3 + 2pm, m € Z.
x= -2p/3 + 2pn, n € Z.
или
(-1)^n p/3 - p/2 + 2pn, n € Z.
Сюррикен:
Первый.
Записать ваше решение и ответ 1?
Почему бы и нет?
А учителю что объяснить или он поймёт?
Да должен понять.
Могу расписать подробнее.
Распишите подробнее, пожалуйста, чтобы подходило под вариант ответа
Усё, расписал.
Спасибо
Да пожалуйста
Вас заинтересует
2 года назад
2 года назад
2 года назад
3 года назад
3 года назад
9 лет назад