Ответы
Ответ дал:
1
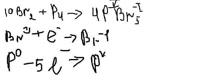
Ответ + решение на листочке
Приложения:

korakru:
Ты уверен, что бром до +5 окислит..?
Вас заинтересует
1 год назад
1 год назад
3 года назад
8 лет назад