• Предмет: Математика
  • Автор: Venera18092013
  • Вопрос задан 2 года назад

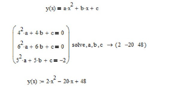
График квадратичной функции проходит через точки A(4;0), B(6;0) и C(5;-2). Найдите формулу этой функции.

Ответы

Ответ дал: Darknelorse
1
Вроде как то так должно решаться 

Приложения:

Venera18092013: А откуда числа брать? Или это с моего задания?
Darknelorse: с твоего уже задания
Вас заинтересует