• Предмет: Алгебра
  • Автор: azerp1204
  • Вопрос задан 2 года назад

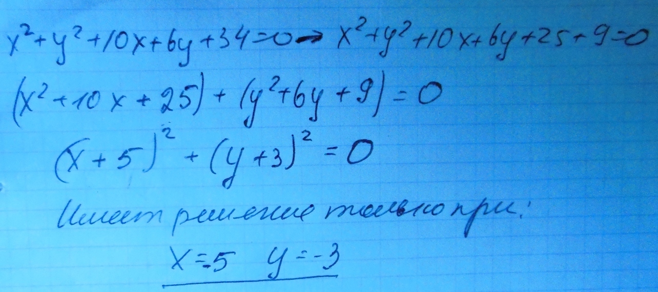
Решите одно уравнение:
x^2+y^2+10x+6y+34=0

Ответы

Ответ дал: miron2077
1
!!!!!!!!!!!!!!!!!!!!!!!!!!!!!!!!!!!
Приложения:
Вас заинтересует