Медианы треугольника ABC пересекаются в точке M. Найдите длину медианы, проведённой к стороне BC, если угол BAC равен 47°, а угол BMC равен 133°, BC=4 корня из 3. Пожалуйста,помогите!!!!
Ответы
Ответ дал:
0
Решение в приложении.
Первый способ решения.
На первой странице "геометрическое" решение с дополнительными построениями. На мой взгляд, довольно изящное.
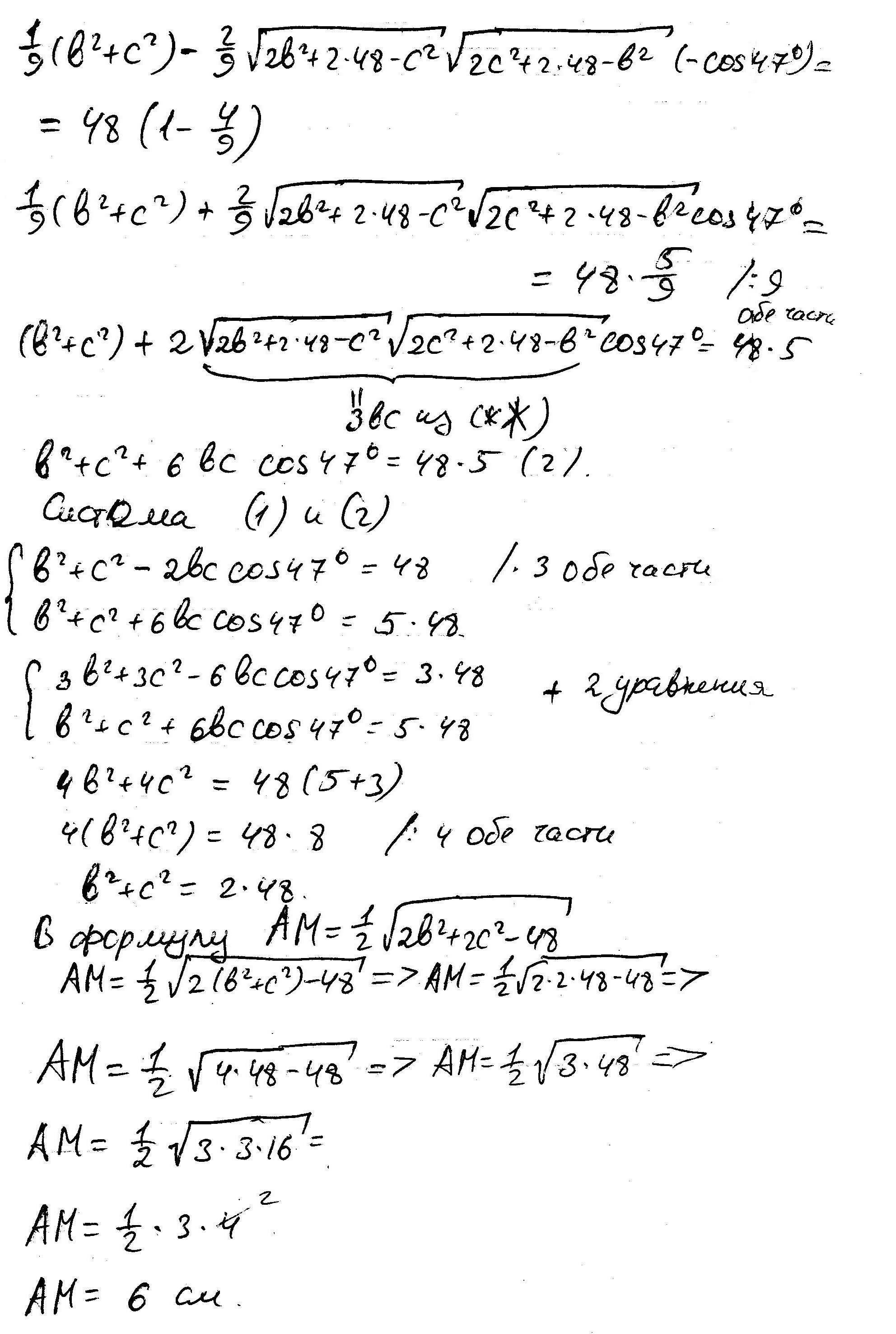
Второй способ решения.
На второй и третьей страницах "алгебраическое" решение. Много выкладок. Теорема косинусов.
Ответ: 6.
Первый способ решения.
На первой странице "геометрическое" решение с дополнительными построениями. На мой взгляд, довольно изящное.
Второй способ решения.
На второй и третьей страницах "алгебраическое" решение. Много выкладок. Теорема косинусов.
Ответ: 6.
Приложения:



Вас заинтересует
2 года назад
2 года назад
6 лет назад
6 лет назад
9 лет назад
9 лет назад
10 лет назад