Ответы
Ответ дал:
1
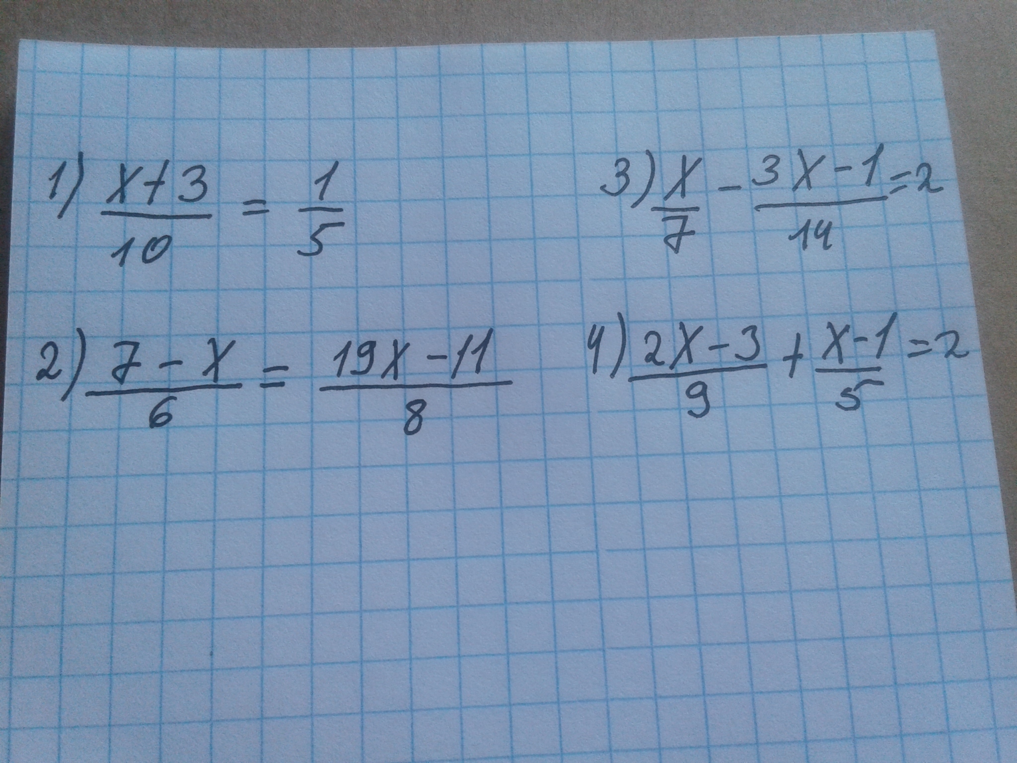
1) 0,1x + 0,3 = 0,2
0,1 x = - 0,1
x = -1.
2) 56 -8x = 114x - 66
-122x = - 122
x = 1
3) -x -1 = 28
x= -27.
4) (2x-3) * 5 + (x-1) * 9 = 45*2
10 x - 15 + 9x - 9 = 90
19x = 124
x= 124/19
x= 6 10/19
0,1 x = - 0,1
x = -1.
2) 56 -8x = 114x - 66
-122x = - 122
x = 1
3) -x -1 = 28
x= -27.
4) (2x-3) * 5 + (x-1) * 9 = 45*2
10 x - 15 + 9x - 9 = 90
19x = 124
x= 124/19
x= 6 10/19
Вас заинтересует
2 года назад
2 года назад
2 года назад
2 года назад
3 года назад
3 года назад
9 лет назад
9 лет назад