• Предмет: Математика
  • Автор: aliyaaaa3
  • Вопрос задан 2 года назад

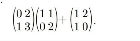
матрица (ответ должен быть 16) покажите пожалуйсто решение

Приложения:

Ответы

Ответ дал: narut1999i
1
Вот решение, перепроверьте
Приложения:
Вас заинтересует