• Предмет: Математика
  • Автор: DualRein
  • Вопрос задан 9 лет назад

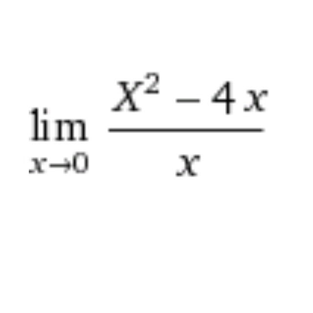
Найти границу функции
Спасибо:)

Приложения:

Ответы

Ответ дал: NNNLLL54
0
 limlimits _{x to 0}; frac{x^2-4x}{x} = limlimits _{x to 0}  ; frac{x(x-4)}{x} = limlimits _{x to 0},  (x-4)=-4
Вас заинтересует