• Предмет: Алгебра
  • Автор: sergeyryabov65
  • Вопрос задан 9 лет назад

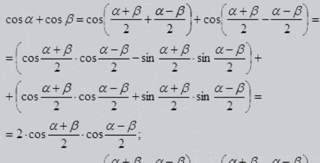
Напишите пожайлуста вывод формулы суммы косинусов

Ответы

Ответ дал: analfisting28
0
Оно самое????????????
Приложения:
Вас заинтересует