• Предмет: Математика
  • Автор: armina1997
  • Вопрос задан 9 лет назад

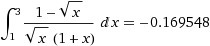
Помогите))) уже не знаю что делать

Приложения:

Ответы

Ответ дал: HSS9860
0
Посмотрите предложенный вариант. Проверка не проводилась.
Приложения:
Вас заинтересует