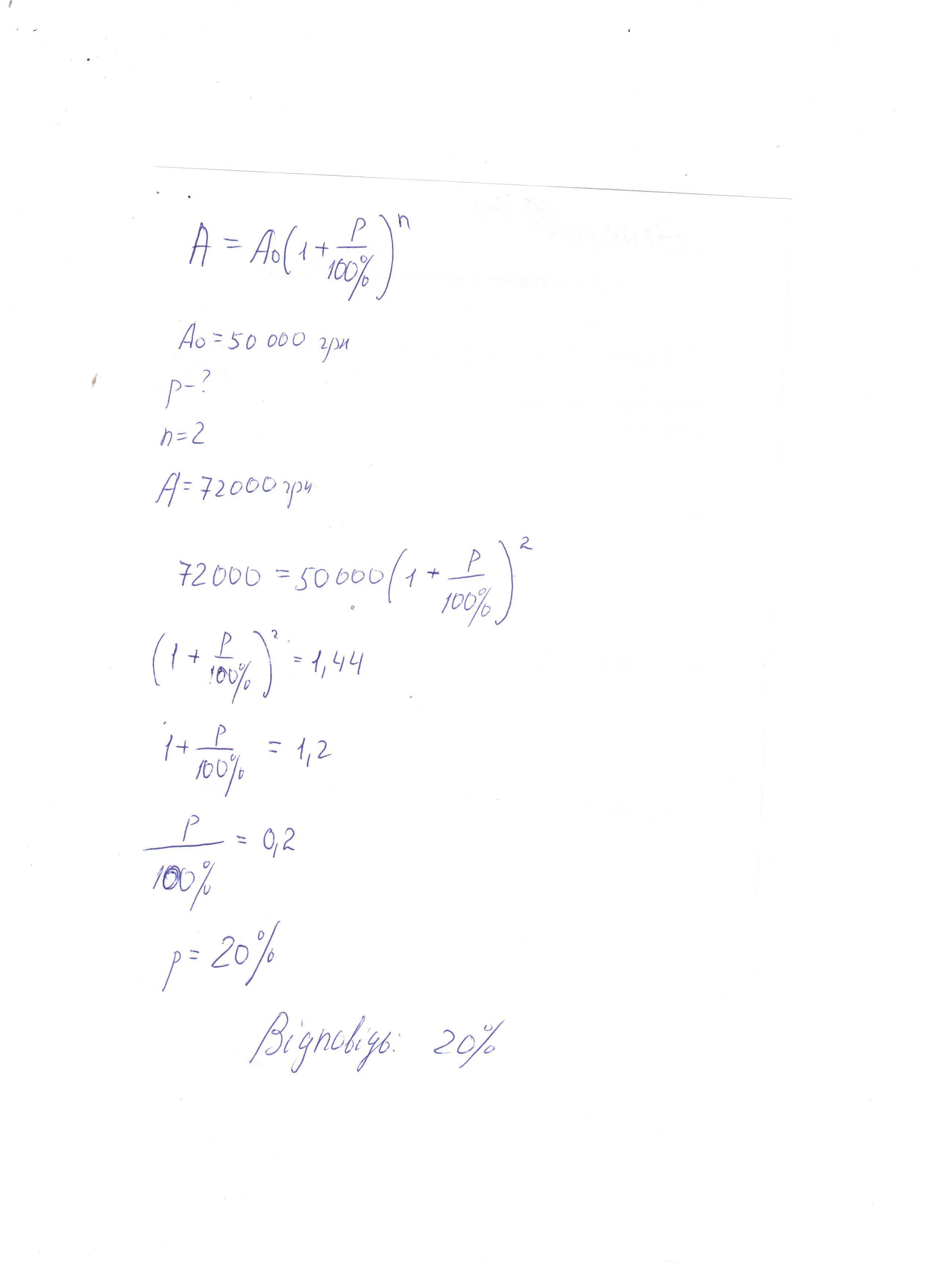
Вкладник поклав у банк 50 000 грн під деякий відсоток річних. Через два роки на його рахунку стало 72 000 грн. Під який відсоток річних він поклав гроші в банк?
Ответы
Ответ дал:
0
20% Дивись розв"язання
Приложения:

Ответ дал:
0
Дякую!
Вас заинтересует
2 года назад
2 года назад
6 лет назад
10 лет назад
10 лет назад