• Предмет: Математика
  • Автор: ааа342
  • Вопрос задан 9 лет назад

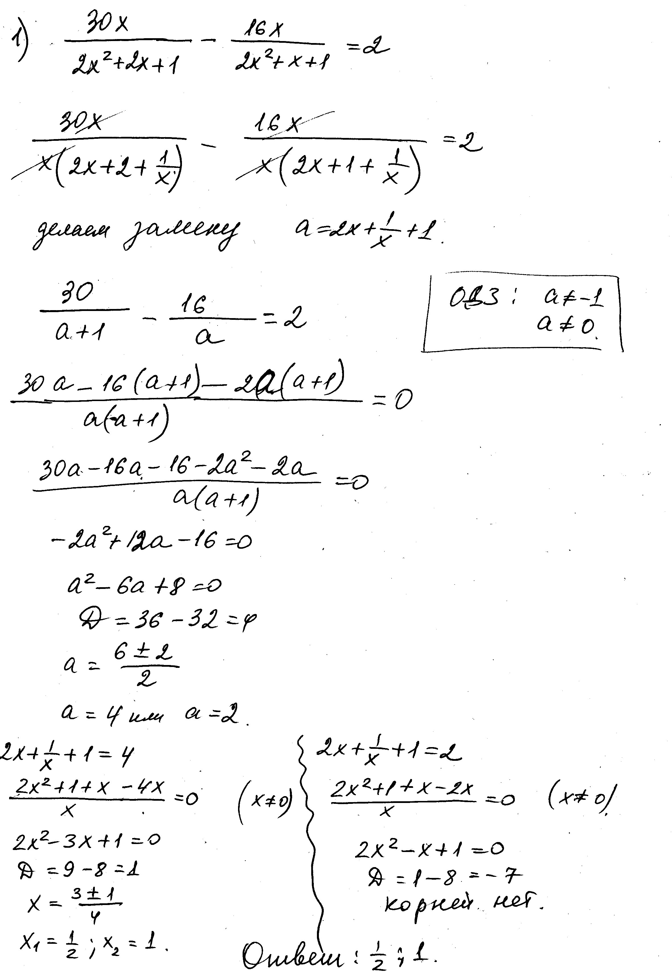
решение через введения новой переменной

Приложения:

Ответы

Ответ дал: samodina
0
решение во вложенном файле
Приложения:
Вас заинтересует