Ответы
Ответ дал:
0
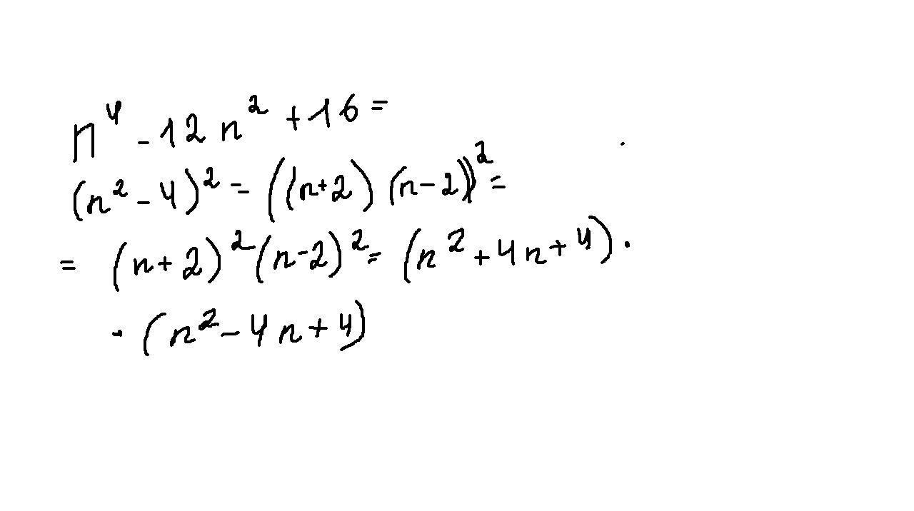
решение в приложенном файле
Приложения:

Вас заинтересует
2 года назад
2 года назад
6 лет назад
6 лет назад
9 лет назад
10 лет назад