• Предмет: Алгебра
  • Автор: holsey
  • Вопрос задан 9 лет назад

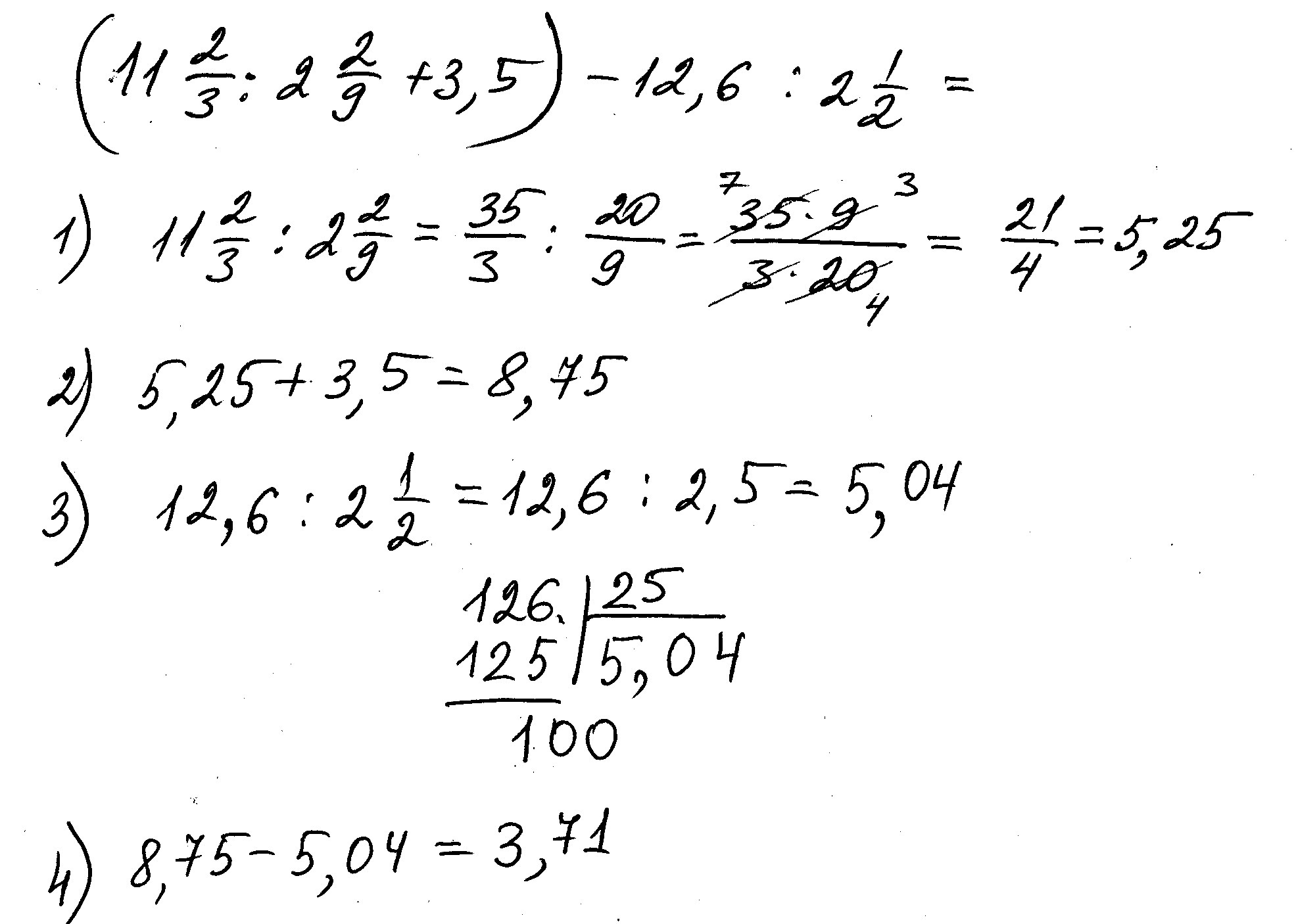
Выполните действия:
(11 2/3 : 2 2/9 + 3,5) - 12,6 : 2 1/2

Ответы

Ответ дал: samodina
0
решение во вложенном файле
Приложения:
Вас заинтересует