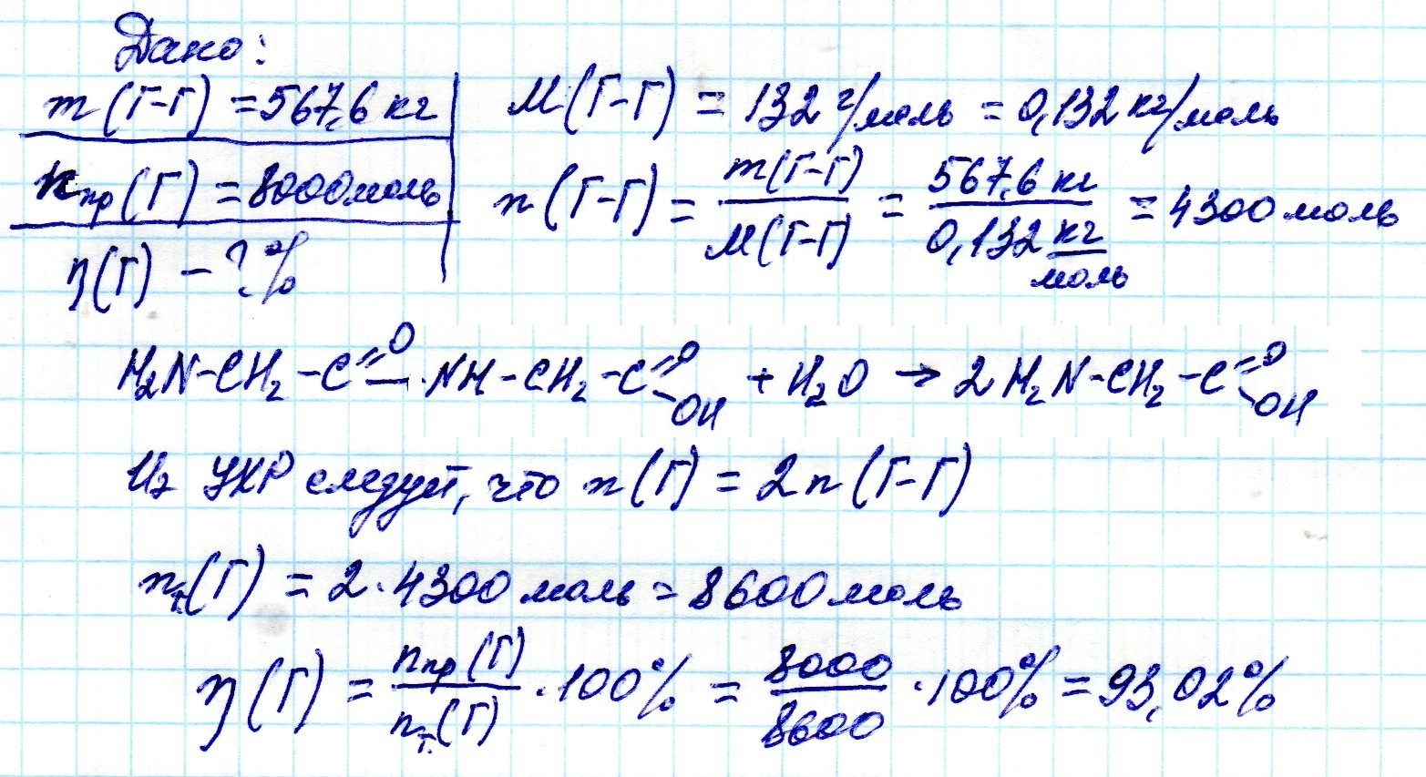
При гидролизе дипептида глицилглицина массой 567,6 кг получили глицин химическим количество 8000 моль. Рассчитайте практический выход продукта (%).
Ответы
Ответ дал:
0
.......................................................................................................
Приложения:

Вас заинтересует
2 года назад
2 года назад
7 лет назад
7 лет назад
9 лет назад
9 лет назад
10 лет назад