• Предмет: Химия
  • Автор: ахмад15
  • Вопрос задан 9 лет назад

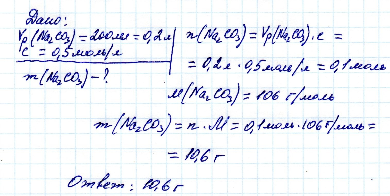
Какую массу карбоната натрия нужно взять для приготовления раствора V (р-ра) 200 мл, С- 0.5 моль/л)?

Ответы

Ответ дал: mrvladimir2
0
.......................................................................................
Приложения:
Вас заинтересует