• Предмет: Алгебра
  • Автор: beloglazov36211
  • Вопрос задан 9 лет назад

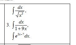
вычислите не определенные интегралы

Приложения:

Ответа на этот вопрос пока нет. Попробуйте найти его через форму поиска.

Вас заинтересует