• Предмет: Химия
  • Автор: hehw8667
  • Вопрос задан 9 лет назад

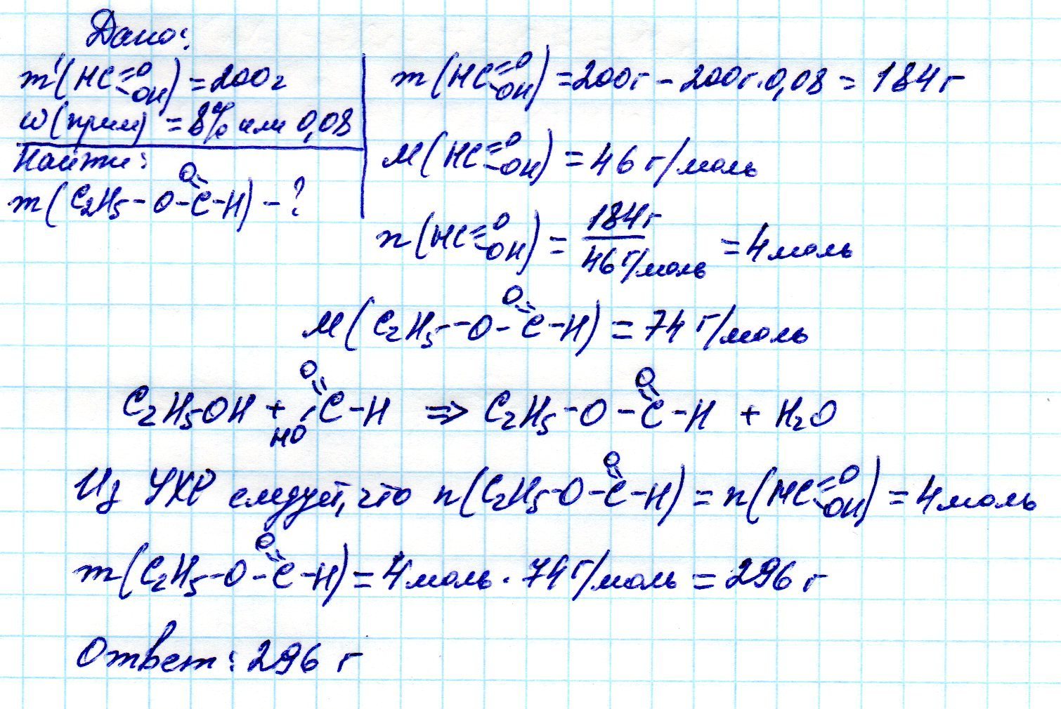
Рассчитайте массу этилформиата, полученного при взаимодействии избытка этанола с 200 г муравьиной кислоты, содержащей 8 % примесей.

Ответы

Ответ дал: mrvladimir2
0
........................................................................................................................
Приложения:
Вас заинтересует