• Предмет: Математика
  • Автор: steeprg6969
  • Вопрос задан 9 лет назад

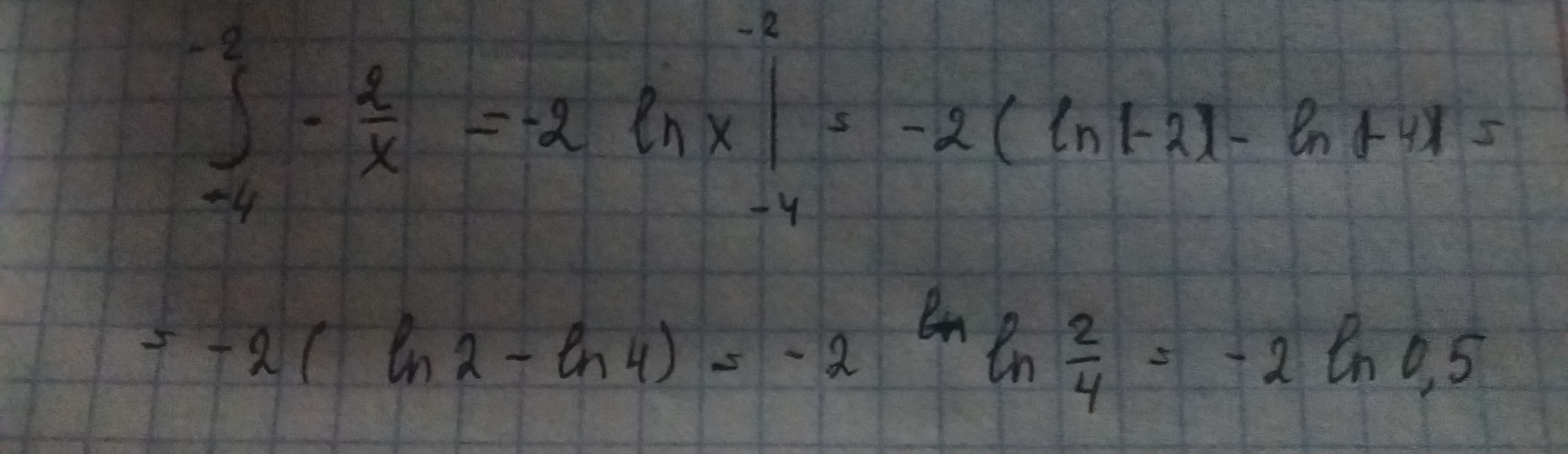
площадь фигуры ограниченной линиями:

y=-2/x ; x=-4 ; x=-2

Ответы

Ответ дал: Molibden
0
Можно вычислить этот логарифм и посчитать приближенное значение
Приложения:
Вас заинтересует