Помогите пожалуйста,срочно!
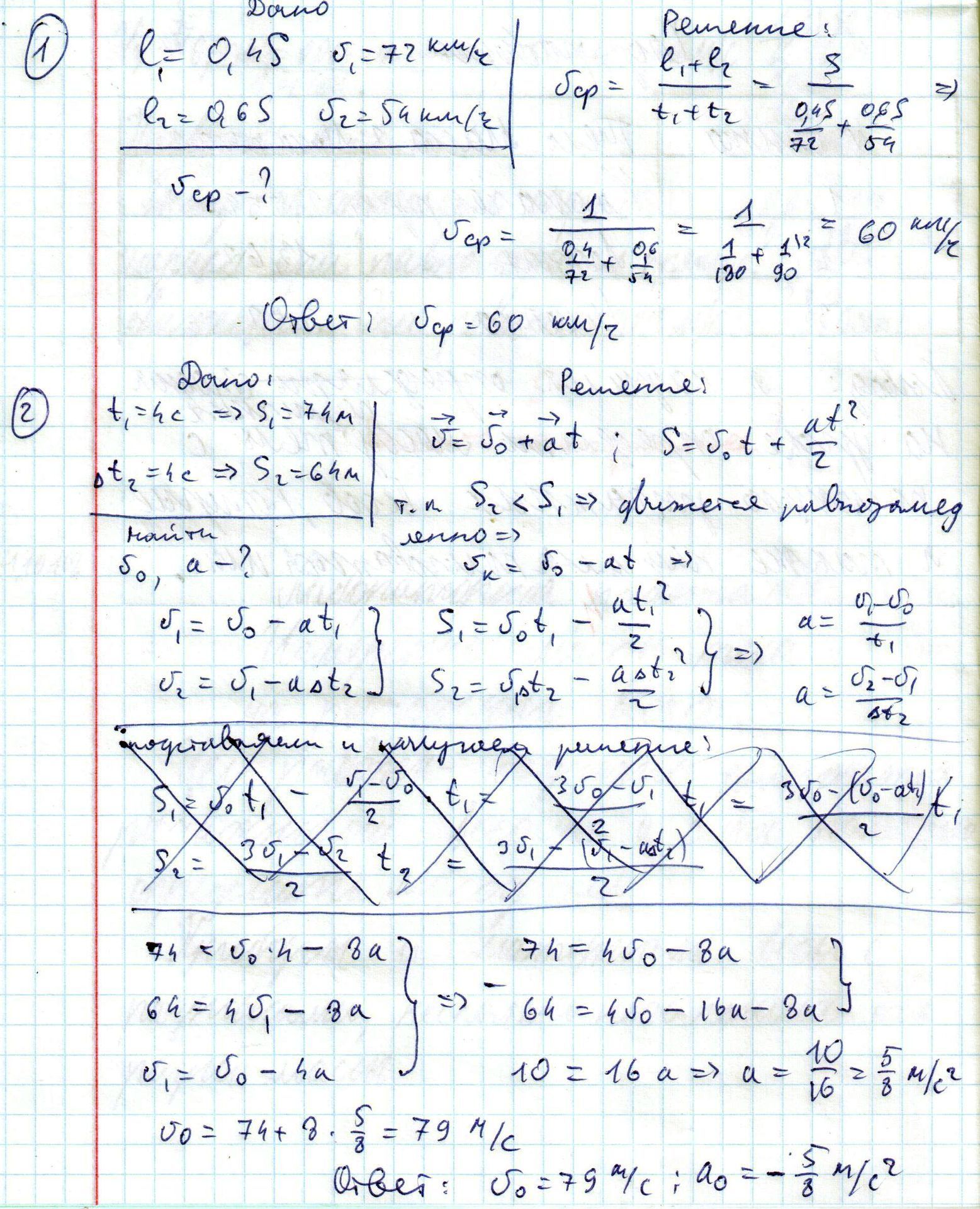
1-Автомобиль проехал 0,4 пути между двумя городами со скоростью 72 км/ч, а оставшуюся часть пути со скоростью 54 км/ч. Определить среднюю скорость мотоциклиста
2-Автомобиль движется равноускоренно. За первые 4 с он проходит путь 74 м, а за следующие 4 с – 64 м. Определите начальную скорость и ускорение автомобиля
3-Тело массой 100 кг движется по горизонтальной поверхности под действием силы 250 Н. Направление действия силы образует угол 25° с горизонтом и проходит через центр масс тела. Определите коэффициент трения, если тело движется с ускорением 1 м/с2
Ответы
Ответ дал:
0
Держи ответ в файле!
Приложения:


Ответ дал:
0
Спасибо!!)
Вас заинтересует
2 года назад
2 года назад
7 лет назад
7 лет назад
9 лет назад
10 лет назад