Ответы
Ответ дал:
0
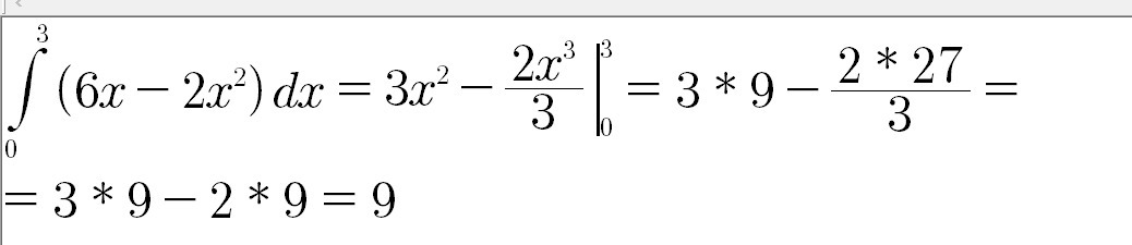
см фото
==========================
==========================
Приложения:


Ответ дал:
0
Спасибо, но не пойму откуда там взялся интеграл :)
Вас заинтересует
2 года назад
2 года назад
7 лет назад
7 лет назад
9 лет назад