• Предмет: Математика
  • Автор: Samsasamasa
  • Вопрос задан 9 лет назад

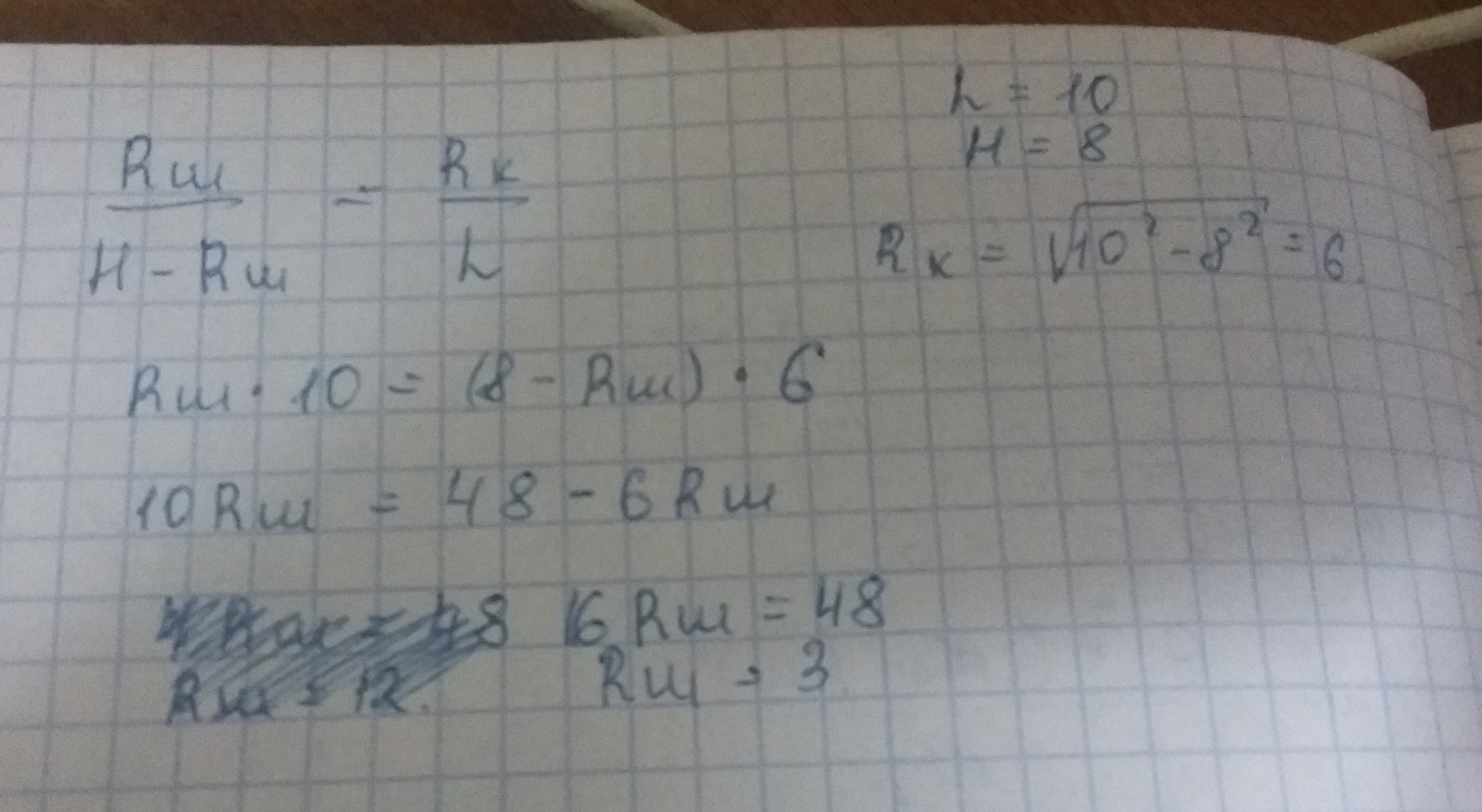
Высота конуса 8, а образующая=10. Определите радиус вписанного шара.

Ответы

Ответ дал: Molibden
0
Формула давно уже выведена, я не стал изобретать велосипед и просто воспользовался ей :)
Приложения:
Вас заинтересует