• Предмет: Математика
  • Автор: WhiteDesert47
  • Вопрос задан 9 лет назад

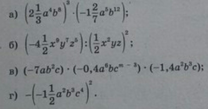
Привести к стандартному виду. С решением.

Приложения:

Ответа на этот вопрос пока нет. Попробуйте найти его через форму поиска.

Вас заинтересует