Ответы
Ответ дал:
0
Держи ответ в файле!
Приложения:

Ответ дал:
0
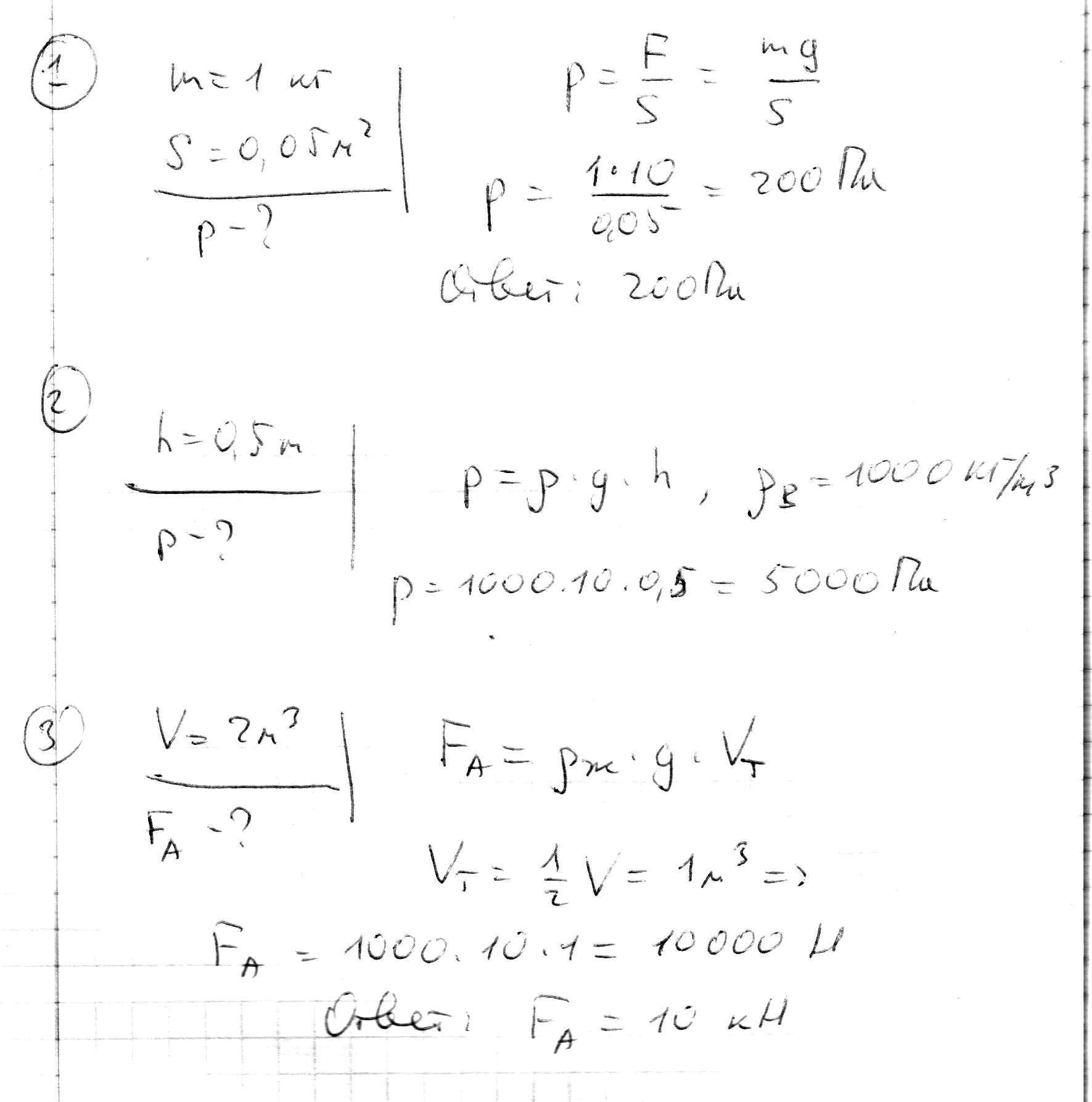
1. Давление равно отношению силы нормального давления (в данном случае - это вес книги) к площади опоры.
p=F/S=mg/S
p=(1кг·10Н/кг)/0,05м²=5000(Па)=5кПА
2. Гидростатическое давление прямо пропорционально плотности жидкости и высоте столба жидкости:
p=ρgh
p=1000кг/м³·10Н/кг·0,5м=50000(Па)=50кПа
3. Выталкивающая (Архимедова) сила равна весу жидкости в объеме погруженной части тела.
F=ρgV
F=1000кг/м³·10Н/кг·1м³=10000(Н)=10кН
p=F/S=mg/S
p=(1кг·10Н/кг)/0,05м²=5000(Па)=5кПА
2. Гидростатическое давление прямо пропорционально плотности жидкости и высоте столба жидкости:
p=ρgh
p=1000кг/м³·10Н/кг·0,5м=50000(Па)=50кПа
3. Выталкивающая (Архимедова) сила равна весу жидкости в объеме погруженной части тела.
F=ρgV
F=1000кг/м³·10Н/кг·1м³=10000(Н)=10кН
Приложения:

Вас заинтересует
2 года назад
2 года назад
6 лет назад
9 лет назад
9 лет назад
10 лет назад
10 лет назад